![]() |
![]() |
![]() |
![]() |
![]() |
![]() |
![]() |
Магистр факультета Вычислительной техники и информатики Кислая Анна Тема магистерской работы: Модель влияния инвестиционного климата на деятельность коммерческого банка |
Актуальность темы
Финансовый рынок (ФР) - важнейшая неотъемлемая часть общества. Состояние финансового рынка является классическим индикатором общего экономического состояния в стране. Любые политические потрясения, любые изменения макроэкономических показателей находят мгновенное отражение.
Современный ФР характеризуется высокой динамичностью происходящих процессов, наличием огромного числа объективных и субъективных факторов, взаимообуславливающих друг друга, относительной скудностью априорной информации о среде.
На сегодняшний день особенно актуально изыскание и разработка новых методов моделирования инвестиционных проектов, методов, позволяющих систематизировать, а также эффективно, непрерывно и оперативно оценивать аналитический материал, необходимый инвестору в процессе принятия решений
Экономическая деятельность отдельных хозяйственных субъектов и страны в целом характеризуется объемом и формами осуществляемых инвестиций.
Термин "инвестиции" происходит от латинского слова "invest", что означает "вкладывать". В широком понимании инвестиции представляют собой вложение капитала с целью дальнейшего его увеличения. При этом прирост капитала может компенсировать инвестору отказ от использования имеющихся средств на потребление в текущем периоде, вознаградить его за риск, возместить потери от инфляции в будущем периоде.
Источником прироста капитала и движущим мотивом осуществления инвестиций есть получаемая от них прибыль.
В современных условиях инвестирование капитала может осуществляться не только в денежной, а и в других формах - движимого и недвижимого имущества, разнообразных финансовых инструментов (прежде всего ценных бумаг), нематериальных активов и т.п..
Классификация инвестиций
1.
За объектами вложений средств:а) реальные
б) финансовые
2.
За характером участия в инвестировании:а) прямые
б) непрямые
3.
За периодом инвестирования:а) краткосрочные
б) долгосрочные
4.
За формами собственности инвесторов:а) собственные в) иностранные
б) государственные г) общие
5.
За региональным признаком:инвестиции внутри страны и за границей.
ПРАВОВОЕ РЕГУЛИРОВАНИЕ ИНВЕСТИЦИОННОЙ ДЕЯТЕЛЬНОСТИ
Важное звено формирования привлекательного инвестиционного климата в Украине - оценивание развития правовой среды в стране и определение инвестиционных рисков.
Создание благоприятного климата в стране связано с четким правовым регулированием инвестиционной деятельности.
Правовая система Украины включает свыше 100 законов и других нормативных актов, которые регулируют инвестиционную деятельность. Прежде всего, это: закон Украины "Об инвестиционной деятельности", Декрет Кабинета Министров Украины "О режиме иностранного инвестирования", Закон Украины "О государственной программе поощрения иностранных инвестиций в Украине", Закон Украины "О ценных бумагах и фондовой бирже", "О приватизации недвижимости государственных предприятий", "О приватизационных бумагах", что создают основу правового регулирования инвестиционной деятельности.
В условиях развития рыночных отношений, необходимости создания новых и модернизации действующих производственных мощностей особой актуальности приобретают проблемы и перспективы расширения участия коммерческих банков в восстановительных процессах. Важнейший аспект активизации инвестиционной деятельности - использование банковского кредита как источника инвестирования.
Особенности инвестиционного кредитования
|
Формы инвестирования |
Право собственности на объект инвестирования |
Доход от инвестирования средств |
Возвращение инвестору вложенных средств |
Компенсация риска потерь вложенных средств |
|
Портфельные инвестиции |
Принадлежит инвестору соответственно объему вложенных средств в составе акционерного (паевого) капитала |
Дивиденды, которые выплачиваются в зависимости от результатов деятельности инвестируемого субъекта |
Средства из капитала акционерного общества не изымаются, могут быть возвращены после продажи акций. Средства из капитала ООО возвращаются инвестору после його выхода из общества |
Продажа акций и возвращение стоимости пая осуществляется по рыночной цене. Риск равняется разности между ценой покупки и продажи акций с учетом фактора времени |
|
Инвестиционный кредит |
Принадлежит субъекту инвестирования |
Определяется по установленной в кредитном соглашении процентной ставке, независимо от результатов деятельности инвестируемого субъекта |
Имеет обязательный и срочный характер в объеме, равном сумме договора |
Кредитный риск компенсируется обращением взыскания на обеспечение кредита или провозглашением банкротства как последнего средства возвращения средств |
ПРИНЦИПЫ ВЫБОРА МОДЕЛЕЙ
Для выбора оптимальной модели учитывают следующие факторы:
1)наличие достаточного количества специалистов для поддержки соответствующего типа модели, которые должны вводить нужную информацию к модели, редактировать ее, выводить прогнозные значения. Составить план модификации данных;
2) структуру данных, которые будут использоваться в модели. Определить, какие отделы и учреждения, в какое время генерируют соответствующие данные, как именно их надо обрабатывать. При наличии лишней информации следует отказаться от ее использования;
3) создание хорошо определенных процедур анализа новых данных. Построить графики новых данных для того, чтобы быстро понять приблизительную зависимость данных, их наполненность, структуру;
4) необходимость построения сначала зависимости между небольшим количеством переменных, для того чтобы найти степень взаимовлияния между ними, наблюдать, как он изменяется на протяжении определенного времени.
Можно создать небольшую модель экономики или определенного процесса, на основе которой получать прогнозные значения. Постепенно эта модель будет видоизменяться, что повысит точность прогнозов.
Эти факторы повлияют на выбор адекватной модели. При пользовании этими принципами будет построена смешанная модель, в которой часть уравнений являются структурными, другие - представляют VAR-модель, а еще существуют некоторые переменные, на которые влияет главный наблюдатель за моделью.
Такое влияние может осуществляться на основе опыта или моделей в НБУ. Не тайна, что за последние несколько лет прогнозирование в НБУ усложнялось вследствие изменений политической или экономической ситуации. Поэтому можно констатировать, что в моделях не учитывалась именно эта часть, которую мог бы имитировать главный наблюдатель.
Алгоритм
выбора наиболее оптимальной стратегии прогнозирования:1) определить необходимую информацию и цель прогнозирования;
2) определить наличие тренда, сезонных колебаний, структуру данных;
3) избавиться с помощью дополнительной информации от данных, не характерных для данного ряда;
4) определить характер тренда
;5) вычислить модель;
6) проверить модель на адекватность. Если необходимо, то внести дополнительные ограничения с помощью экспертов;
7) подсчитать прогнозы. Если необходимо, то внести поправки на экспертные прогнозы с помощью линейной комбинации нескольких статистических и экспертных прогнозов.
Модель оценивания срока окупаемости
Это - простейший и часто используемый метод. Он дает возможность рассчитать период, на протяжении которого проект окупится. Если этот срок будет удовлетворять инвестора, то проект может быть принятым. Сущность метода состоит в составлении денежного потока проекта за годами и определении периода окупаемости - времени, на протяжении которого сумма денег, затраченная на проект, будет возмещена. Рассмотрим проект с таким денежным потоком:

Модель
оценивания доходности использованного капиталаЭтот метод состоит в определении отношения дохода, полученного от реализации проекта, к затратам, которые должны быть осуществлены (ROCE).
Доход вычисляется после отчислений налоговых и на амортизацию. К затратам принадлежат начальная стоимость проекта и рабочий капитал.
Существуют два способа выражения ROCE
.Первый
- это определение отношения среднегодового дохода, полученного за весь период осуществления проекта, к средней стоимости вложенного капитала.Второй - определение отношения среднегодового дохода к стоимости вложенного капитала.
Модель NPV (оценивание инвестиционных проектов на основе современной стоимости потока платежей)
Настоящая стоимость потока платежей определяется добавлением всех настоящих стоимостей платежей на протяжении рассматриваемого периода.
A
- определенный платеж, который можно ожидать через n лет, то его настоящая стоимость
.
r -
норма прибыли
-
Если рассматривается промежуток времени n - лет и определенный инвестиционный проект, то настоящая стоимость его потока платежей
![]()
Для принятия решения о вложении средств в проект руководствуются таким правилом:
1)если NPV>0, проект может выполняться;
2)если NPV<0, от проекта отказываются;
Модель Монти - Кляйна
Более адекватными экономическим реалиям представляются модели, рассматривающие поведение банка в условиях монополии и олигополии. Рассмотрим достаточно простую модель поведения банка - монополиста, получившую название модели Монти - Кляйна.
В ее рамках действует банк, который в соответствии с классической микроэкономической теорией монополии обладает возможностями по изменению величин процентных ставок на кредиты и депозиты (
rD и rL). Формально данную предпосылку можно выразить через задание функций:L(rL
), ставящей в соответствие значению процентной ставки за кредиты rL объем кредитов L, которые потенциальные заемщики возьмут у банка по такой ставке;D(rD)
, ставящей в соответствие значению процентной ставки за депозиты rD объем средств D. Которые сможет занять у депозиторов банк, обещая им выплаты по данной ставке.Представляется естественным считать, что функция
L(rL) является убывающей, D(rD) - возрастающей.При дальнейшем изложении модели необходимы обратные функции
L(rL), D(rD). Дополнительно будем считать, что процентная ставка по межбанковским кредитам является параметром, задаваемым извне (допустим, назначается центральным банком). Тогда прибыль, получаемая некоторым банком - монополистом, будет равна![]()
Необходимое условие максимума функции прибыли
π(D,L) - равенство первых частных производных нулю - примет вид:Формула 1:
![]()
Формула 2:
![]()
Заметим, что в случае, если выполняется предположение о вогнутости π
(D,L), то условия (1) и (2) будут также и достаточными.Эластичность спроса на кредиты по процентной ставке выражается:
Формула 3:
![]()
Знак "минус" в формуле (3) нужен для обеспечения не отрицательности значения эластичности ε
L>0. В свою очередь, эластичность предложения депозитов (по процентной ставке) примет вид:Формула
4:![]()
С учетом (3) и (4) решение системы (1) и (2)
(rL*, rD*) определяется равенствами.Формула
5:![]()
Формула 6:
![]()
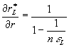
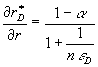
Левые части уравнений (5) и (6) представляют собой традиционные показатели степени монопольной власти над ценой - индексы Лернера (разность цены и предельных издержек, деленная на цену).
В результате условие равновесия в монопольной банковской системе может быть сформулировано следующим образом: банк монополист будет устанавливать количество кредитов
(L) и депозитов (D) таким образом, чтобы выполнялось условие равенства индексов Лернера обратным эласчтичностям.Из (5) и (6) следует, что чем больше влияние банков на величины ставок по депозитам или кредитам, тем больший индекс Лернера и меньшая эластичность соответствуют им. Также можно прийти к интуитивному заключению о том, что предельные издержки будут больше тогда, когда сильнее монопольная власть банка.
Модель поведения банка в конкурентной среде может рассматриваться как частный случай модели Монти - Кляйна, который получается при стремлении значений эластичностей к бесконечности.
Так, из того, что
εD(rD*)→∞ и εL(rL*)→∞ вытекает, что:![]()
![]()
Из сформулированного выше условия равновесия в монопольной банковской системе вытекает вывод о том, что появление на финансовом рынке заменителей (субститутов) банковских услуг может оказать неблагоприятное влияние на предельные издержки банка по управлению кредитами и депозитами. Например, это может произойти при получении домохозяйствами доступа к разного рода взаимным денежным фондам, что явится субститутом для банковских депозитов, или же при выпуске фирмами прямых долговых обязательств, которые замещают банковское кредитование.
Непосредственно из (5) - (6) вытекает принципиально важное заключение о том, что если в рамках модели Монти - Кляйна функция издержек управления банком С является аддитивной относительно своих параметров
(D) и (L), то значения оптимальных ставок по депозитам и кредитам rD и rL являются независимыми друг от друга; то есть кредитный депозитный рынки обладают независимыми характеристиками для состояния их равновесия.Докажем еще одно важное свойство состояния равновесия для случая банка - монополиста: если в модели Монти - Кляйна функция издержек является аддитивной, то при возрастании ставки межбанковского рынка
r ставки по кредитам и депозитам rD и rL также возрастают.Доказательство: Условия максимума функции прибыли π
(D,L) (1) - (2) неявно задают некоторую функцию от r.Формула 7:
![]()
Тогда, если повторно продифференцировать (7) по
r, получим:Формула
8:![]()
Формула 9:
![]()
Поскольку функция π
(D,L) предполагается вогнутой, то![]()
Откуда следует, что
![]()
Из (1) - (2) можем получить:
Формула
10:![]()
Формула
11:![]()
Следовательно,
Учитывая, что функция
L(rL) является убывающей, получаем, чтоАналогично, принимая во внимание, что функция
D(rD) является возрастающей, получаем, чтоМОДЕЛЬ ОЛИГОПОЛИИ
Ситуация, при которой в условиях рыночной экономики банковская отрасль может контролироваться только одним банком-монополистом, представляется малореалистичной. В то же время правдоподобным выглядит предположение, когда в банковской отрасли существует конкуренция ограниченного числа банков, что соответствует модели олигополии. На соответствующей модификации модели Монти-Кляйна мы и остановимся.
Пусть на рынке присутствует
n банков, пронумерованных индексом j є 1..n. Допустим также, что все они характеризуются одинаковой линейной функцией издержек управления:Формула
12:![]()
Изучение свойств модели начнем с такой традиционной для микроэкономических исследований проблемы, как выяснение условий существования в ней равновесия по Курно.
Под равновесием по Курно будем понимать такой вектор
{(Dj*, Lj*)}j=1..n размерности 2xn, где (Dj*, Lj*) - количество депозитов и кредитов, принадлежащих j - у банку. Для всех j пара значений (Dj*, Lj*) такова, что она максимизирует прибыль j - ого банка при условии, что остальные банки i≠j владеют кредитами и депозитами в объемах {(Dj*, Lj*)}j≠j.Другими словами, вектор
{(Ъ
\=74Dj*, Lj*)}j=1..n задает такое устойчивое состояние банковской системы, от которого каждому банку в отдельности не выгодно отклоняться (при условии, что остальные банки также будут придерживаться своих "равновесных" стратегий). Напомним, что основной специфической особенностью понятия равновесия по Курно является то, что в тех моделях, где оно рассматривается, стратегия участников (фирм, банков и т.п.) задаются в форме принятия решений по объему продукции, выставляемой на рынок (для банков, соответственно, - по объемам кредитов и депозитов).С математической точки зрения для каждого
j пара (Dj*, Lj*) определяется как решение задачи:
Если обозначить через
В этом случае функция прибыли отдельного банка примет вид:
Формула
15:![]()
![]()
Необходимое условие максимума
Формула
16:![]()
Формула
17:![]()
Условия (16) - (17) можно переписать в следующем виде:
Формула
18:![]()
Формула
19:![]()
Полученные уравнения (18)-(19) являются дальнейшим обобщением условий равновесия для моделей конкурентной и монополистической банковских систем. Можно заметить, что условия равновесия по Курно для модели банковской олигополии отличаются от аналогичных условий в модели монополистического банка только тем, что коэффициент эластичности в знаменателе правой части умножается на число банков
n.Таким образом, мы получаем вполне естественный результат: монопольная банковская система представляет собой граничный случай олигопольной при
n=1, а конкурентная банковская система - при n=∞Уравнения (18) - (19) также можно использовать в качестве критерия уровня "несовершенности" конкуренции в банковском секторе. Они, в частности, позволяют выразить "предельную чувствительность" ставок
rL* и rD* к изменениям ставки межбанковского рынка r. Особенно наглядно это можно сделать, если допустить, что эластичности εL и εD являются постоянными величинами. Тогда на основе (18) - (19) можно записать:Формула
20:
Формула
21:
Из условий (20)-(21) видно, что "предельные чувствительности" ставок
rL* и rD* к изменениям ставки межбанковского рынка r зависят от количества банков n. Последнее, в свою очередь, может быть интерпретировано как-то, что при увеличении интенсивности конкуренции (возрастании n), процентная ставка по кредитам rL* становится менее чувствительной (а процентная ставка по депозитам rD* - более чувствительной) к изменениям ставки r.СВОБОДНАЯ КОНКУРЕНЦИЯ И ОПТИМАЛЬНОЕ КОЛИЧЕСТВО БАНКОВ
Одной из наиболее популярных моделей монополистической конкуренции является модель Салопа. В ней дифференциация между продуктами происходит по признаку транспортных издержек. Здесь под транспортными издержками будем понимать некоторые обобщенные (агрегированные) затраты, которые несет клиент банка (вкладчик) при доступе к его услугам. Аналогичный смысл будем вкладывать в понятие "расстояния" между банком и клиентом, т.к. будем трактовать его не в качестве физической характеристики, а как некоторый фактор, обусловливающий возникновение издержек доступа к банковскому сервису.
В простейшей формулировке модели Салопа для банковской системы предполагается существование совокупности депозиторов (вкладчиков) в количестве
D, каждый из которых обладает наличными запасами денежных средств, которые он готов потенциально поместить в банк. Для простоты будем считать, что каждый вкладчик владеет суммой величиной в некоторую условную единицу. Расположение банков и вкладчиков друг относительно друга с точки зрения принятого выше понятия "расстояния" моделируется с помощью круга, длина которого считается равной единице. Будем считать, что вкладчики равномерно по окружности.Пусть в рассматриваемой экономике существуют
n банков, идентифицируемых с помощью индекса j є 1..n. Предполагается, что банки, в отличие от вкладчиков, имеют возможность вкладывать привлеченные ими средства в некоторые безрисковые активы, приносящие доход с процентной ставкой r.Также предполагается, что вкладчики, помещая средства в банк, несут "транспортные" издержки α
x (пропорционально "расстоянию" x, отделяющему их от банка).Поскольку депозиторы расположены по окружности однородно, то оптимальная организация банковской системы потребует и соответствующего равномерного распределения банков. Тогда максимально возможное расстояние, которое придется преодолеть вкладчику до ближайшего банка, равно
1/2n.При этом его транспортные издержки определяются как
Формула
22:
Наконец, пусть средние издержки на создание нового банка равны
F.В рамках построенной модели закономерным представляется вопрос: какое количество банков будет оптимальным для рассматриваемой экономической системы. При этом "логичным" критерием оптимальности представляется минимизация суммарных издержек, складывающихся из затрат на учреждение банка и транспортных издержек:
Формула
23:![]()
Если пренебречь условием целочисленности
n, то минимум выражения (23) достигается, когда его производная поФормула
24:![]()
Откуда получаем формулу для оптимального количества банков:
Формула
25:![]()
ОСНОВНЫЕ ВЫВОДЫ
Основываясь на предпосылках простейшей микроэкономической модели поведения банка в условиях совершенной конкуренции, можно сделать вывод о том, что в целях максимизации получаемой прибыли банк будет привлекать депозиты в таком объеме
Из модели Монти-Кляйна, описывающей поведение банка в условиях монополии, следует, что банк-монополист будет устанавливать объемы предлагаемых им кредитов (
L) и депозитов (D) таким образом, чтобы выполнялось условие равенства индексов Лернера обратным эластичностям. Данный вывод может быть обобщен на случай олигополии. При этом требуется равенство индексов Лернера обратным произведениям эластичностей на количество банков.На базе модели Монти-Кляйна могут быть получены принципиальные выводы, касающиеся последствий политики регулирования ставки процентных выплат по депозитам. В частности, ограничение сверху на размер депозитной ставки
rD вызывает уменьшение процентных ставок по кредитам rL тогда и только тогда, когда относительно функции прибыли банка выполняется условиеВ рамках модели Салопа, рассматривающей взаимоотношения банков и их вкладчиков (депозиторов) с точки зрения "расстояния" как фактора, порождающего издержки вкладчиков по доступу к банковским услугам, может быть получен вывод о том, что свободная конкуренция (отсутствие ограничений на вхождение для новых банков в отрасль) приводит к появлению избыточного количества банков (с точки зрения критерия минимизации суммарных издержек).
Используя модели, развивающие идеи модели Салопа, можно обосновать вывод о том, что в условиях регулирования (ограничения) предельной ставки по депозитам банки будут предлагать своим клиентам связанные контракты с более низкими (чем в случае отсутствия регулирования) ставками по кредитам.
В условиях высоких издержек перехода и непрозрачности информации об уровне и качестве услуг равновесие в финансово - банковском секторе, складывающиеся как результат конкуренции значительного количества относительно небольших по размерам банков унитарного типа, может оказаться менее привлекательным с точки зрения клиентов (депозиторов), чем равновесие, возникающее в случае существования банков, обладающих филиальной сетью.
НОВАЯ ПАРАДИГМА ОЦЕНКИ ИНВЕСТИЦИОННОЙ ПРИВЛЕКАТЕЛЬНОСТИ РЕГИОНОВ
Основной недостаток современной парадигмы оценки инвестиционной привлекательности регионов является ее нацеленность от общего к конкретному, что противоречит философии и методологии научного исследования.
Необходимо парадигму оценки инвестиционной привлекательности регионов изменить, проводя соответствующие исследования от конкретного к целому.
Приступая к оценке инвестиционной привлекательности региона, исследования следует начинать из конкретного предприятия определенной области.
Должны анализироваться перспективы развития этой области вообще в границах соответствующего региона с обязательным расчетом ее инвестиционной привлекательности (или ее инвестиционных потребностей). И только после оценки инвестиционной вместительности региона можно вести речь про инвестиционную привлекательность региона.
Что касается отдельного предприятия, то инвестиционно привлекательным для него будет регион, в границах которого будет помещаться точка оптимального расположения этого предприятия. В такой точке должна выполняться условие минимума суммарных затрат на производство продукции (В) и ее транспортирование (Т) к потребителям, то есть:
Для выбора оптимального места и целесообразной мощности предприятий при условиях реальной транспортной поверхности может быть использованная модель производственно-транспортной задачи (ПТЗ).
![]()
![]()
-
В свою очередь:
де
-
Ограничение модели:
Целевая функция имеет вид:
Инвестирование в ценные бумаги с применением экспертной системы и экономико - математического моделирования
В условиях становления рыночной экономики, которая характеризуется свободой действий и конкуренцией, предприятия и организации должны осуществлять взвешенную и реалистическую стратегию своей деятельности, адаптированную к требованиям рынка.
Каждый экономический субъект преследует определенные цели своей деятельности и осуществляет определенные меры по их достижению, стремясь получить собственную прибыль. При этом прибыль от экономических операций связана с риском получения убытков. Риск в деятельности предприятий и организаций возникает в сложности определения эффективности осуществляемых операций при столкновении интересов нескольких сторон, невозможности предусмотреть, какие возможные действия изберут другие участники экономических процессов и какие стихийные рыночные влияния будут иметь место в будущем. Соответственно,каждый экономический субъект в процессе своей деятельности должен постоянно учитывать неопределенность, конфликтность, влияния тех видов рисков, которые присущи, в частности, украинской экономике на данном этапе деятельности.
Целью данной работы - разработка метода определения эффективной стратегии вложения средств в ценные бумаги в условиях неопределенной инвестиционной среды.
Задачу определения стратегии инвестирования в ценные бумаги, которая бы гарантировала минимальные потери для инвестора, целесообразно (предлагается) подать в виде оконченной антагонистической игры:
X
- множество возможных действий инвестораY
- множество возможных изменений инвестиционной средыH
- функция полезности инвестора, которую можно подать в виде матрицы.Инвестор рассматривает возможность инвестирования в m ценных бумаг разных элементов, которые характеризуются отдачей от инвестирования Rn
i и возможными потерями в размере Pi. Для определения стратегии формирования портфеля ценных бумаг на инвестиции, можно построить оконченную антагонистическую игру с матрицей выигрышей:
Ограничимся рассмотрением облигаций, которые характеризуются ставкой процента, фиксированным сроком погашения и номинальной стоимостью.
Отдача по і облигации равняется:
Стратегия, в соответствии с которой инвестору следует вкладывать средства в ценные бумаги на инвестиции, рассчитывается за формулой:
![]()
Рассчитанная стратегия инвестирования в облигации разрешает инвестору распределить свои ресурсы между их видами так, что портфель ценных бумаг будет сбалансированной за размерами прибылей и убытков, а инвестор обеспечит себе определенный уровень дохода в неопределенности условий инвестиционной среды.
ВЫВОДЫ
Виды деятельности коммерческих банков в инвестиционных процессах:
1)обслуживание движения средств, которые принадлежат инвесторам-клиентам и предназначенные для инвестирования;
2)мобилизация накоплений для сбережений и направление их на инвестирование через рынок ценных бумаг;
3)вложение в инвестиционные проекты собственных и привлеченных ресурсов.
В современных условиях в Украине коммерческие банки в основном ограничиваются первым видом деятельности. Это связано с рядом объективных факторов:
1.Инвестиционное финансирование сдерживается т.к. уровень цены кредита превышает его финансовую отдачу
.2.Общий объем инвестиций, направленных в экономику, значительно меньший чем спрос на них.
3.Недостаток собственного капитала и отсутствие достаточных резервов под возрастающие кредитные риски.
4.Ограничение возможностей коммерческих банков требованиями обязательного резервирования НБУ, которая составляет до 20 %.
В условиях рыночной экономики недостаток собственных средств для инвестирования покрывается с помощью долгосрочных кредитов. Одной из новых форм преодоления проблем отсутствия инвестиционных средств есть лизинг.
Для банков лизинг - это новые клиенты, значительное расширение банковских операций, и, как итог, - улучшение финансового состояния. В Украине есть все предпосылки для быстрого развития лизинга.
Экономическая эффективность кредитования ухудшается высокими процентными ставками. Неэффективно используются и краткосрочные кредиты..
Увеличить инвестиционный потенциал коммерческие банки могут за счет: сбережений населения, привлечения к активной инвестиционной деятельности средств с теневого сектора.
Необходимо создать систему гарантии защиты сбережений населения, важной частью которой есть страхование банковских депозитов физических лиц, которое приведет к:
-обеспечению доверия общественности к банкам;
-защите интересов вкладчиков и акционеров банка;
-повышению контроля за деятельностью банков.
Формирование собственного инвестиционного потенциала коммерческих банков начинается с создания в Украине благоприятного инвестиционного климата для них, с учетом реалий отечественной банковской и рыночной системы.
Необходимо разработать концептуальные схемы инвестиционного процесса, чтобы предоставить инвестиционной деятельности характера процесса, который постоянно будет сохранять динамизм воспроизведения капитала. С этой целью разработана Программа "Украина-2010", которая предусматривает развитие экономики за инвестиционным типом.
Главные задачи осуществления инвестиционной стратегии:
-обеспечение опережающего увеличения объемов инвестирования в реальный сектор экономики;
- восстановление стимулов к накоплению капитала;
- активизация инвестиционной деятельности субъектов хозяйствования;
- повышение эффективности использования капиталов;
- усиление процессов накопления капиталов населения и инвестиционного использования их;
- согласование денежно-кредитной и бюджетно-налоговой политики страны с задачей инвестиционной стратегии;
- содействие широкому привлечению иностранных инвестиций для проведения структурной перестройки экономики.
Украине, как независимому государству, безусловно, надо уделять большое внимание отладке реального сотрудничества банковского капитала с инвестиционной сферой в инвестиционных процессах.
Литература