Моделирование и расчет длительных переходных процессов в сложных энергосистемах при больших небалансах мощности
С объединением энергосистем повышается актуальность исследования переходных процессов и по-слеаварийных режимов. Аварийное возмущение в
каждой из энергосистем может привести к аварийной ситуации во всем энергообъединении. Для обеспечения “живучести”, т. е. способности своевременно локализовать поврежденную часть и предотвратить каскадное развитие аварии, современные энергообъединения оснащаются большим количеством систем автоматического регулирования и про-тивоаварийной автоматики. Все это значительно усложняет переходные процессы при аварийных возмущениях режима.В связи с этим необходим пересмотр методов и алгоритмов исследования переходных процессов. Необходимо совместное рассмотрение вопросов статической, динамической и результирующей устойчивости режимов энергосистемы. Для этого следует решить задачу моделирования всего переходного процесса: от момента возмущения до установившегося режима.
Развитие аварийной ситуации в системную аварию сопровождается, как правило, возникновением больших небалансов мощности в системе вследствие отключения нагрузок, генераторных мощностей и линий электропередач. Появление небалансов мощности и
их динамическое распределение в системе обуславливает глубокие изменения частоты и напряжения в ее узлах.Существенной особенностью системной аварии является ее продолжительность, исчисляемая минутами. Переходный процесс при этом можно разделить на два этапа. Первый этап, следующий за аварийным возмущением, характеризуется взаимными качаниями роторов генераторов, сравнительно быстрыми колебаниями напряжений в узлах и перетоков мощности по линиям электропередач. Амплитуда колебаний определяется местными небалансами мощности. Эти колебания, если сохраняется динамическая устойчивость, затухают через 5—10 с после возмущения. На втором этапе происходит медленное изменение частоты и перераспределение потоков мощности в системе. Длительность второго этапа может достигать нескольких минут, при этом скорость и величина снижения частоты определяется суммарным небалансом мощности всей системы. Хотя быстрые колебания уже отсутствуют, опасность нарушения устойчивости на втором этапе не снижается. Как на первом, так и на втором этапе возможно срабатывание различных средств
противоаварийной и технологической автоматики, вносящих дополнительные возмущения в энергообъединение.Исследование длительных переходных процессов при протекании системных аварий следует проводить с помощью единого в методическом отношении инструмента. Таким инструментом в настоящее
время может быть цифровая имитационная модель системных аварий, представляющая собой сложный комплекс программ для ЦВМ. Создание имитационной модели позволит проводить расчеты различных системных аварий, разрабатывать требования к настройке систем автоматического регулирования частоты и мощности (АРЧМ), выбирать уставки срабатывания АЧР-1 и АЧР-П
, обеспечивающие не только заданный диапазон изменения частоты системы, но и динамическую устойчивость переходных процессов на первом этапе аварии, а также статическую устойчивость послеаварийных режимов на втором этапе, определять точки и моменты деления системы на несинхронно работающие части и т. д.Необходимость расчета переходных процессов на длительных интервалах времени, с одной стороны, повышает требования к точности учета демпфирующих факторов, действующих в электроэнергетической системе на различных этапах системной аварии, и с другой стороны, ставит сложную в алгоритмическом отношении задачу о совместном расчете “быстрых” и “медленных” составляющих движения системы.
Математическая модель. Для успешного моделирования системных аварий следует учитывать особенности физических процессов, происходящих в энергообъединении на первом и втором этапах переходного процесса.
На первом этапе ротор каждого генератора характеризуется индивидуальной скоростью вращения. Мгновенные значения частоты в узлах нагрузки также заметно различаются. Колебания этих величин имеют частоту 0,5—2 Гц. На первом этапе необходимо рассчитывать переходный процесс в системе с учетом взаимных качаний роторов и колебаний перетоков мощности. На этом этапе основное влияние на
характер переходного процесса оказывают электромеханические и электромагнитные процессы в генераторах и нагрузках, действие автоматических регуляторов и противоаварийной автоматики, а также тепло- и гидромеханические процессы, постоянные времени которых измеряются секундами.На втором этапе переходный процесс можно рассматривать как серию квазиустановившихся режимов, параметры которых изменяются сравнительно медленно. Основное влияние на динамику квазиустановившихся режимов оказывают системы вторичного регулирования частоты и мощности, а также процессы в котлах и их системах регулирования, постоянные времени которых измеряются десятками секунд. На этом этапе также возможно действие противоаварийной автоматики.
С учетом вышеизложенного при моделировании длительных переходных процессов необходимо учитывать электромеханические и электромагнитные
процессы в генераторах, регулирование возбуждения генераторов и скорости турбин, статические или динамические характеристики нагрузок. Эти факторы более или менее полно учитываются и при расчетах динамической устойчивости. Характерной особенностью разработанной модели является то,
что в ней дополнительно учитываются переходные процессы в тепло- и гидромеханическом оборудовании электростанций, а также в системах вторичного регулирования частоты и мощности, действие про тивоаварийной и технологической автоматики.Электромеханические и электромагнитные процессы в генераторе с учетом изменения его скорости вращения
ωγi описываются следующими уравнениями:
где
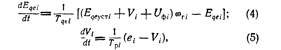
ωκ —частота в к-м узле энергосистемы. Остальные обозначения общеприняты [Л. 1—2]. Возможно использование и более точных моделей генератора, учитывающих переходные процессы в демпферных контурах (по одному контуру в осях d и q).Автоматический регулятор возбуждения моделируется
двумя инерционными звеньями:где
Eqeустi—уставка в системе АРВ; еi—напряжение на выходе измерительной схемы,
Е
qех.х,—э. д. с. холостого хода, Uфi,—напряжение форсировки,
![]()
Нагрузки задаются статическими характеристиками и эквивалентными асинхронными двигателями. Переходный процесс нагрузки, заданной асинхронным двигателем, описывается уравнениями:

где Рi,
Qi—мощность нагрузки, заданная статическими характеристиками; Sдвi—скольжение двигателя.Кроме дифференциальных уравнений (7) и (8) необходимо записать уравнения баланса мощностей
для всех узлов электрической системы:

Выражения для мощности перетоков по связям
Pij, Qij должны учитывать взаимные скольжения векторов напряжения по концам связи [Л. З].Для принятой математической модели угловая скорость вращения вектора напряжения в каждом узле электрической системы является безынерционной координатой и может определяться, например, из решения систем алгебраических уравнений (9) и (10).
Процессы в тепловой турбине
Pt, питаемой прямоточным котлоагрегатом, описываются системой дифференциальных и алгебраических уравнений переходных процессов в котле, турбине и системе регулирования мощности блока [Л. 5 и 6]:
где
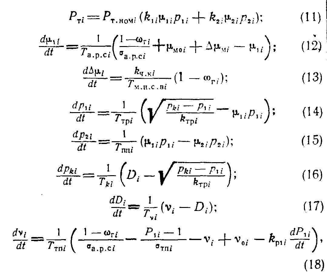
p1i, p2i, μ1i,μ2i—давление пара и открытие регулирующих клапанов цилиндров высокого и среднего давления (μ2i==const); pki—давление пара на выходе из котла; Di—количество пара, генерируемого котлом; Vi—обобщенный показатель, характеризующий подачу топлива, воды и воздуха в котел; σa.p.ci,σтпi—статизмы регуляторов скорости турбины и топливоподачи в котел;Kp1i — коэффициент усиления регулятора нагрузки котла по первой производной давления “свежего” пара; Ktpi—коэффициент, характеризующий потери давления в трубопроводе “свежего” пара; Tтрi, Tппi, Tа.р.с.i Tм.и.с.вi — постоянные времени трубопровода “свежего” пара, промперегревателя автоматического регулятора скорости турбины, двигателя изменения скорости вращения турбоагрегата; μм0i,Δμмi—управляющие сигналы системы вторичного регулирования частоты и мощности, выраженные в перемещении регулирующих клапанов турбины; Kч.кi— коэффициент частотной коррекции системы АРЧМ, K1i,K2i—доли мощности цилиндра высокого давленияи цилиндров среднего и низкого давления
; Pномi-номинальная мощность турбины.При включенном регуляторе “до себя” вместо
(13), (17} и (18) записываются уравнения:
T
иi—постоянная времени сервомотора регулятора “до себя”, μπ.д.с—открытие регулирующих клапанов; Кpi — коэффициент усиления.Аналогичным образом может быть смоделирована тепловая турбина с барабанным котлоагрегатом, уравнения которого несколько отличаются от уравнений (11)—(20) и здесь не приводятся.
При глубоких снижениях частоты в системе уравнения переходных процессов котлоагрегатов с питательными электронасосами необходимо изменить в соответствии с данными [Л.
4].Математическая модель гидравлической турбины, учитывающая явление гидроудара, изодромный регулятор скорости и систему вторичного регулирования, может быть записана в виде

где
Yгi—сигнал гибкой обратной связи; ζi,ηi- коэффициенты жесткой и гибкой обратной связей;Tci, Tii, T
вi—постоянные времени сервомотора, изодрома и водовода; Нoi—напор воды (Ho= ==const, HoВторичное регулирование ГЭС
Δμмi в простейшем случае описывается уравнением (13). В общем случае предусмотрено моделирование более сложных законов регулирования по частоте и активной мощности (АРЧМ).Действие противоаварийной и технологической автоматики моделируется путем задания уставок ее срабатывания и временных интервалов запаздывания. Возмущения, вносимые автоматикой, комплектуются из стандартного набора возмущений, которым снабжается математическая модель системы (короткие замыкания, изменения нагрузок и т. п.). Кроме того, предусматривается введение автоматики программного типа действия. Моделируются следующие виды автоматики и технологических зашит: АЧР, частотное АПВ, АПАХ по проворотам и углу, резервные АПАХ, делительная автоматика по активному перетоку, включение и отключение тепловых турбин по технологическому минимуму и гидротурбин по условиям кавитации, отключение парогенераторов при недопустимых
понижениях давления “свежего” пара, работа БРОУ и автоматов безопасности и ряд других.
При расчете переходного процесса на первом этапе после аварийного возмущения учитываются мгновенные значения частоты в каждом узле
ωi![]()
где
θ=dω/dt—ускорение всех генераторов системы.Напряжения на шинах генераторов принимаются неизменными или учитываются ограничения по реактивной мощности.
На первом этапе переходного процесса об устойчивости системы можно судить по виду решения. На втором этапе вследствие упрощающих допущений по виду решения дифференциальных уравнений нельзя судить об устойчивости системы. Однако в этом случае режим системы изменяется медленно и является квазиустановившимся, а его устойчивость можно оценивать как статическую устойчивость установившегося режима.
Алгоритм и программы расчета длительных переходных процессов. Расчет переходных процессов сводится и совместному решению систем дифференциальных и алгебраических уравнений вида

Наиболее перспективными в настоящее время методами численного анализа систем типа (25) являются методы прогноза и коррекции численного интегрирования систем дифференциальных уравнений, совмещаемые с итерационными методами решения системы алгебраических уравнений.
При расчете переходных процессов на первом этапе системной аварии все термодинамические переменные котлоагрегата и турбины, за исключением давления “свежего” и “перегретого” пара Р
1, Р2 могут быть приняты неизменными. На первом этапе переходного процесса в энергосистеме расчет проводится с помощью метода прогноза и коррекции с автоматическим выбором шага численного интегрирования, обеспечивающего заданную точность получаемых результатов. Переход к алгоритмам второго этапа организуется при снижении амплитуды взаимных колебаний частот в узлах системы ниже заранее заданного уровня. Расчет переходных процессов на втором этапе продолжается либо до установления нового стационарного режима, либо до момента срабатывания средств противоаварийной или технологической автоматики. В последнем случае происходит возврат к алгоритмам первого этапа.
Переходный процесс при кратковременном отключении нагрузки.
а —
расчетная схема; б — графики изменения мощностей генераторов и перетока по связи; в—графики изменения частоты и ускорения системы; ———— — эксперимент; —— • —— — расчет.Значительное ускорение расчета второго этапа удается получить, применив метод осреднения “быстрых” переменных, к которым в этом случае относятся частота в системе, давления свежего и перегретого пара, положение регулирующих клапанов турбоагрегатов и направляющего аппарата гидротурбин. Применение этого метода, как показали проведенные исследования, не искажает топологическую картину пространства состояний исследуемой системы и в то же время позволяет значительно сократить число дифференциальных уравнений и увеличить шаг интегрирования [Л. 7].
Для выбора противоаварийной автоматики в сложных энергосистемах и решения других задач предусмотрен упрощенный расчет длительных переходных процессов без учета взаимных качаний углов.
При этом предполагается, что электромагнитные и электромеханические колебания затухают мгновенно после аварийного возмущения. Небаланс мощности, обусловленный аварией, воспринимается инерционными массами всех станций, роторы агрегатов которых приобретают конечное ускорение. Алгоритм такого расчета подробно изложен в [Л. 8]. Вводимое упрощение приводит
к погрешностям при анализе процессов в
первые несколько секунд после возмущения. В дальнейшем переходный процесс моделируется верно и позволяет исследовать устойчивость квазнустановившихся и установившихся послеаварийных режимов, имеющих место через 5—300 с. Такой упрощенный подход позволяет оперативно анализировать длительные переходные процессы в сложных схемах и на основании такого анализа обоснованно выбирать противоаварийную автоматику.Разработанные модель и алгоритм реализованы в комплексе программ расчета длительных переходных процессов, написанных на языке ФОРТРАН. В случае неучета взаимных качаний на основе [Л. 8] разработана промышленная программа расчета послеаварийных режимов и устойчивости. Результаты расчетов сопоставлены с результатами эксперимента на электродинамической модели (см. рисунок). Моделировалась часть ЕЭС СССР. Возмущением было отключение части нагрузки в узле
1 в момент времени 1 с и ее повторное включение через 75 с. На рисунке приведены экспериментальные и расчетные кривые. Дополнительно показано рассчитанное ускорение системы θ.Рассчитанные кривые хорошо соответствуют средним значениям экспериментальных кривых. Сравнение показало, что рассчитанные переходные процессы качественно совпадают с имеющими место в реальных энергосистемах.
СПИСОК ЛИТЕРАТУРЫ
1. Веников В. А.
Переходные электромеханические процессы в электрических системах.—М.: Энергия, 1964.2. Лукашов Э. С. О расчете переходных электромеханических процессов в электрических системах с учетом изменения частоты.—Изв. СО АН СССР. Серия технических наук, 1974, №. 8. вып. 2.
3. Калюжный А. X. Уравнения малых колебаний сложной электроэнергетической системы, учитывающие изменения частоты. — Изв. СО АН СССР. Серия технических наук, 1976, •№ 8, вып. 2.
4. Орнов В. Г. Анализ работы блоков 150—200 МВт при аварийных понижениях частоты. — Электрические станции, 1972, № 12.
5. Стернинсон Л. Д. Переходные процессы при регулировании частоты и активной мощности в электрических системах.—М.: Энергия, 1975.
6. Иванов В. А. Режимы мощных паротурбинных установок.—Л.: Энергия, 1971.
7. Лукашов Э. С., Лизалек Н. Н., Лукин А. Н. Математическое моделирование электроэиергетпческой системы для расчета электромеханических переходных процессов при больших небалансах мощности и изменения частоты.—В кн.: Тезисы VII Всесоюзной конференции по моделированию электроэнергетических систем.—Таллин, 1977.
8. Калюжный А. X., Соколов Ю. В. Исследование установившихся и квазиустановившихся послеаварийных режимов с учетом динамики частоты. — Изв. СО АН СССР. Серия технических наук, 1978, № 13, вып. 3.