МОДЕЛИРОВАНИЕ ПЕРЕХОДНЫХ РЕЖИМОВ РАБОТЫ ВЕТРОЭЛЕКТРОСТАНЦИИ С АСИНХРОННЫМИ ГЕНЕРАТОРАМИ
Гармаш В. С,
Донецкий государственный технический университет
Негативное влияние энергетики на экологическую обстановку и преимущественно экстенсивный характер ее развития привели к такому состоянию, когда объемы потребления традиционных энергоресурсов достигли планетарных масштабов, что, с одной стороны, грозит их исчерпанием и "энергетическим голодом", а с другой - метаморфозой окружающей среды в направлении ее деградации и полного уничтожения ноосферы. В связи этим развитию нетрадиционных возобновляемых источников энергии и в первую очередь ветроэнергетике уделяется большое внимание. Суммарная мощность ветроэлектростанций всего мира в 1998 году составила порядка 9000 МВтЗначительное внимание развитию
ветроэнергетики уделяется в Украине. В Национальной энергетической программе Украины до 2010 года предусматривается строительство ВЭС общей мощностью 2000 МВт и в частности Донузлавской-500 МВт, Новоазовской-50 Мвт, Аджигольской, Восточно-Крымской, Черноморской. Принятию этой программы предшествовала работа по составлению схемы районирования территории Украины по средней годовой скорости ветра. [1] Юг Донецкой области находится в районе со средней годовой скоростью ветра 4.75-5.25 м/с. Более высокие показатели средней годовой скорости ветра до 5.75 м/с имеют районы Крыма и Карпат.Отличительной особенностью работы ветродвигателя является его работа в условиях непрерывной пульсации скорости ветра. Целью работы является разработка математической модели ветроэлектростанций по полным дифференциальным уравнениям элементов и исследование динамических режимов ее работы.
Обычной схемой ВЭС, представленной на рис.1, является параллельная работа нескольких генераторов на общие шины с последующей выдачей мощности через повышающий трасформатор в линию высокого напряжения. В указанной схеме к источнику питания с напряжением
Us через трансформатор с активным сопротивлением Rt и индуктивностью Lt подключены шунт Rш.Lш, два асинхронных генератора G1.G2 и суммарная емкость их системы возбуждения С.
Рисунок 1-Схема замещения ВЭС
Дифференциальные уравнения трансформатора и шунта в осях х,у,
ωκ) имеют вид[2]:
Напряжение на шинах генераторного напряжения может быть определено из решения уравнения:
![]()
Асинхронный генератор с конденсаторным самовозбуждением представляет собой обычный асинхронный электродвигатель с короткозамкнутым ротором в котором происходит электромагнитное преобразование механической энергии вращения ротора в электрическую энергию генерируемого тока. Синусоидальные колебания напряжения на статорных обмотках генератора являются результатом автоколебательного процесса в
LC-колебательном контуре, образованном индуктивностью генератора и емкостью конденсаторов возбуждения. Асинхронный генератор может быть представлен в виде двухконтурной схемы замещения:
Рисунок 2-Схема замещения АГ
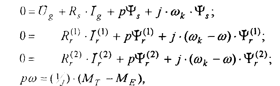
В соответствии с уравнениями обобщенной электрической машины [2] дифференциальные уравнения АГ для схемы рис 2 можно представить в виде:

где
Rs, Rг(i),Lσs,Lσr(i),i=1,2-активные сопротивления и индуктивности рассеяния статора и ротораLm -
индуктивность взаимоиндукции;Ψ
s, ψr(i), ψm- потокосцепления статора, роторных контуров и ветви намагничивания;Ig, Ir(i) -
токи статора и роторных контуров;Me -электромагнитный момент генератора;
Mt
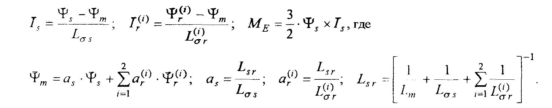
-момент вращения ветротурбины.Значения токов и электромагнитного момента рассчитываются из выражений:

зависимости от потокосцепления в воздушном зазоре. Зависимость
Lm=f(ψm) в пределах напряжения генератора 0.8-1.2 номинального значения может рассматриваться как линейная Lm=a-b*ψm, где a и b-постоянные коэффициенты. До включения конденсаторов возбуждения АГ, напряжение Ug может быть определено из уравнения балансатоков в узле
в дифференциальной форме:![]()
После подстановки составляющих можно получить:

Взаимосвязь между параметрами ветра (средняя скорость, порывистость), ветроколеса (число модулей, угол разворота лопастей) и моментом ветротурбины является достаточно сложной [З], однако при исследовании электромагнитных переходных процессов с частотой затухания менее 0.5с величина М-р может быть принята постоянной.
В соответствии с приведенными уравнениями была разработана на ПЭВМ программа расчета переходных режимов работы ветроэлектростанции с асинхронными генераторами позволяющая исследовать следующие режимы: включение в сеть невозбужденного генератора, включение конденсаторов возбуждения, короткие замыкания в сети генераторного напряжения, взаимное влияние генераторов.
В качестве исследуемого был выбран асинхронный генератор с номинальными параметрами 110кВт, 0.4 кВ, 207А, 1513 об/мин и конденсаторами возбуждения мощностью 40кВАр при его включении через трансформатор мощностью 1000 кВА.
Были выполнены расчеты режимов: включения в сеть генератора, вращающегося с номинальной частотой, подключения конденсаторов возбуждения и короткого замыкания на шинах генераторного напряжения в номинальном режиме работы. Результаты расчета в относительных единицах приведены на рисунках 3-5. За относительные единицы приняты номинальные значения напряжения и тока генератора. Величина шага интегрирования принималась из условия 2000 точек на период промышленной частоты.

Рисунок 3-Режим
включения в сеть невозбужденного вращающегося АГКак видно из рис.3 в первый момент включения асинхронного генератора напряжение на шинах уменьшается до 0.94о.е., возникает бросок ударного тока 7.5о.е., динамического момента 1.8о.е. Время затухания переходного процесса равно порядка 0.12 сек. Установившиеся значения тока
и момента соответствуют номинальным параметрам генератора.
Рисунок 4-Режим включения конденсаторов возбуждения АГ
Как видно из рис.4 в первый момент подключения конденсаторов напряжение на шинах генератора уменьшается до нуля, далее начинается колебательный процесс заряда конденсатора, который длится около 0.15сек. Напряжение на шинах через 0.001сек достигает двукратного значения .частота его колебаний составляет порядка 1.3 кГц. Установившееся значение напряжения равно 1.01 U „ .Ток в конденсаторе достигает своего максимального значения равного 5.4 о.е.через 0.00025 сек, частота колебаний 2.6 кГц, установившееся значение равно 0.3 о.е. Ток в трансформаторе повторяет ток в конденсаторе (за вычетом тока в генераторе), установившееся значение его равно 1.04 о.е. Ток в генераторе изменяется незначительно и его установившееся значение равно 1.07 о.е.

Рисунок 5-Режим короткого
замыкания на шинах U оКороткое замыкание на шинах генераторного напряжения моделировалось путем уменьшения сопротивления шунта до достаточно малой величины из условия сохранения устойчивости вычислительного процесса. Как видно из приведенных данных, значение составляющей ударного тока короткого замыкания от трансформатора составляет 80.0 о.е., от генератора - 4.0 о.е., от конденсатора-3.7 о.е. В цепи конденсатора возникает колебательный процесс с частотой тока 2.6 кГц, который накладывается на токи генератора, трансформатора и напряжение на шинах. Установившееся значение напряжения равно 0.5 о.е., токов от трасформатора-2.5 о.е., от генератора-0.54 о.е., от конденсатора-0 15 о.е Время затухания переходного процесса составляет порядка 0.18 сек.
Полученные данные могу быть использованы при наладке устройств защиты и автоматики.
ЛИТЕРАТУРА
1.Васько П.Ф., Брыль А.А., Пекур П.П. Определение технических показателей эффективности использования ветроэлектрических агрегатов в Украине// Энергетика и электрификация.-1995.-М2.-С.48-51
2.Ковач К.П. Переходные процессы в машинах переменного тока. -М.-Л.Тосэнергоиздат, 1963.-744с.
3.ШефтерЯ.И. Использование энергии ветра. -М.:Энергоатомиздат, 1983.-200с.