Учебник "Оценка эффективности инвестиционных проектов"

Савчук Владимир Павлович, vps@a-teleport.com


7. Основные критерии эффективности инвестиционного проекта и методы их оценки

7. 1. Общая характеристика методов оценки эффективности

Международная практика оценки эффективности инвестиций существенно базируется на концепции временной стоимости денег и основана на следующих принципах:

  1. Оценка эффективности использования инвестируемого капитала производится путем сопоставления денежного потока (cash flow), который формируется в процессе реализации инвестиционного проекта и исходной инвестиции. Проект признается эффективным, если обеспечивается возврат исходной суммы инвестиций и требуемая доходность для инвесторов, предоставивших капитал.
  2. Инвестируемый капитал равно как и денежный поток приводится к настоящему времени или к определенному расчетному году (который как правило предшествует началу реализации проекта).
  3. Процесс дисконтирования капитальных вложений и денежных потоков производится по различным ставкам дисконта, которые определяются в зависимости от особенностей инвестиционных проектов. При определении ставки дисконта учитываются структура инвестиций и стоимость отдельных составляющих капитала.

Суть всех методов оценки базируется на следующей простой схеме: Исходные инвестиции при реализации какого-либо проекта генерируют денежный поток CF1, CF2, ... , CFn. Инвестиции признаются эффективными, если этот поток достаточен для

Наиболее распространены следующие показатели эффективности капитальных вложений:

Данные показатели равно как и соответствующие им методы, используются в двух вариантах:

7. 2. Метод дисконтированного периода окупаемости

Рассмотрим этот метод на конкретном примере анализа двух взаимоисключающих друг друга проектов.

Пример 1. Пусть оба проекта предполагают одинаковый объем инвестиций $1,000 и рассчитаны на четыре года.

Проект А генерирует следующие денежные потоки : по годам 500, 400, 300, 100, а проект В - 100, 300, 400, 600. Стоимость капитала проекта оценена на уровне 10%. Расчет дисконтированного срока осуществляется с помощью следующих таблиц.

Таблица 7.1.
Проект А

Год

0

1

2

3

4

Чистый денежный поток (ЧДП)

-1,000

500

400

300

100

Дисконтированный ЧДП

-1,000

455

331

225

68

Накопленный дисконтированный ЧДП

-1,000

-545

-214

11

79

Во третьей строке таблицы помещены дисконтированные значения денежных доходов предприятия в следствии реализации инвестиционного проекта. В данном случае уместно рассмотреть следующую интерпретацию дисконтирования: приведение денежной суммы к настоящему моменту времени соответствует выделению из этой суммы той ее части, которая соответствует доходу инвестора, который предоставляется ему за то, что он предоставил свой капитал. Таким образом, оставшаяся часть денежного потока призвана покрыть исходный объем инвестиции. В четвертой строке таблицы содержатся значения непокрытой части исходной инвестиции. С течением времени величина непокрытой части уменьшается. Так, к концу второго года непокрытыми остаются только $214, и поскольку дисконтированной значение денежного потока в третьем году составляет $225, становится ясным, что период покрытия инвестиции составляет два полных года и какую-то часть года. Более конкретно для проекта получим:

. Аналогично для второго проекта расчетная таблица и расчет дисконтированного периода окупаемости имеют следующий вид.

Таблица 7.2.
Проект В.

Год

0

1

2

3

4

Чистый денежный поток (ЧДП)

-1,000

100

300

400

600

Дисконтированный ЧДП

-1,000

91

248

301

410

Накопленный дисконтированный ЧДП

-1,000

-909

-661

-360

50

.

На основе результатов расчетов делается вывод о том, что проект А лучше, поскольку он имеет меньший дисконтированный период окупаемости.

Существенным недостатком метода дисконтированного периода окупаемости является то, что он учитывает только начальные денежные потоки, именно те потоки, которые укладываются в период окупаемости. Все последующие денежные потоки не принимаются во внимание в расчетной схеме. Так, если бы в рамках второго проекта в последний год поток составил, например $1000, то результат расчета дисконтированного периода окупаемости не изменился бы, хотя совершенно очевидно, что проект станет в этом случае гораздо более привлекательным.

7. 3. Метод чистого современного значения (NPV - метод)

Этот метод основан на использовании понятия чистого современного значения (Net Present Value)

,

где CFi - чистый денежный поток,
r - стоимость капитала, привлеченного для инвестиционного проекта.

Термин “чистое” имеет следующий смысл: каждая сумма денег определяется как алгебраическая сумма входных (положительных) и выходных (отрицательных) потоков. Например, если во второй год реализации инвестиционного проекта объем капитальных вложений составляет $15,000, а денежный доход в тот же год - $12,000, то чистая сумма денежных средств во второй год составляет ($3,000).

В соответствии с сущностью метода современное значение всех входных денежных потоков сравнивается с современным значением выходных потоков, обусловленных капитальными вложениями для реализации проекта. Разница между первым и вторым есть чистое современное значение, величина которого определяет правило принятия решения.

Процедура метода.

Шаг 1. Определяется современное значение каждого денежного потока, входного и выходного.

Шаг 2. Суммируются все дисконтированные значения элементов денежных потоков и определяется критерий NPV.

Шаг 3. Производится принятие решения:

Пример 2. Руководство предприятия собирается внедрить новую машину, которая выполняет операции, производимые в настоящее время вручную. Машина стоит вместе с установкой $5,000 со сроком эксплуатации 5 лет и нулевой ликвидационной стоимостью. По оценкам финансового отдела предприятия внедрение машины за счет экономии ручного труда позволит обеспечить дополнительный входной поток денег $1,800. На четвертом году эксплуатации машина потребует ремонт стоимостью $300.

Экономически целесообразно ли внедрять новую машину, если стоимость капитала предприятия составляет 20%.

Решение. Представим условия задачи в виде лаконичных исходных данных.

Стоимость машины

$5,000

Время проекта

5 лет

Остаточная стоимость

$0

Стоимость ремонта в 4-м году

$300

Входной денежный поток за счет приобретения машины

$1,800

Показатель дисконта

20%

Расчет произведем с помощью следующей таблицы.

Таблица 7.3.
Расчет значения NPV

Наименование денежного потока

Год(ы)

Денежный

поток

Дисконтирование

множителя 20%*

Настоящее

значение денег

Исходная инвестиция

Сейчас

($5,000)

1

($5,000)

Входной денежный поток

(1-5)

$1,800

2.991

$5,384

Ремонт машины

4

($300)

0.482

($145)

Современное чистое значение (NPV)

$239

* Множитель дисконтирования определяется с помощью финансовых таблиц.

В результате расчетов NPV = $239 > 0, и поэтому с финансовой точки зрения проект следует принять.

Сейчас уместно остановиться на интерпретации значения NPV. Очевидно, что сумма $239 представляет собой некоторый “запас прочности”, призванный компенсировать возможную ошибку при прогнозировании денежных потоков. Американские финансовые менеджеры говорят - это деньги, отложенные на “черный день”.

Рассмотрим теперь вопрос зависимости показателя и, следовательно, сделанного на его основе вывода от нормы доходности инвестиций. Другими словами, в рамках данного примера ответим на вопрос, что если показатель доходности инвестиций (стоимость капитала предприятия) станет больше. Как должно измениться значение NPV?

Расчет показывает, что при r = 24% получим NPV = ($186), то есть критерий является отрицательным и проект следует отклонить. Интерпретация этого феномена может быть проведена следующим образом. О чем говорит отрицательное значение NPV? О том, что исходная инвестиция не окупается, т.е. положительные денежные потоки, которые генерируются этой инвестицией не достаточны для компенсации, с учетом стоимости денег во времени, исходной суммы капитальных вложений. Вспомним, что стоимость собственного капитала компании - это доходность альтернативных вложений своего капитала, которое может сделать компания. При r = 20% компании более выгодно вложить деньги в собственное оборудование, которое за счет экономии генерирует денежный поток $1,800 в течение ближайших пяти лет; причем каждая из этих сумм в свою очередь инвестируется по 20% годовых. При r = 24% компании более выгодно сразу же инвестировать имеющиеся у нее $5,000 под 24% годовых, нежели инвестировать в оборудование, которое за счет экономии будет “приносить” денежный доход $1,800, который в свою очередь будет инвестироваться под 24% годовых.

Общий вывод таков: при увеличении нормы доходности инвестиций (стоимости капитала инвестиционного проекта) значение критерия NPV уменьшается.

Для полноты представления информации, необходимой для расчета NPV, приведем типичные денежные потоки.

Типичные входные денежные потоки:

Типичные выходные потоки:

Ранее было отмечено, что результирующие чистые денежные потоки, призваны обеспечить возврат инвестированной суммы денег и доход для инвесторов. Рассмотрим, как происходит разделение каждой денежной суммы на эти две части с помощью следующего иллюстрирующего примера.

Пример 3. Предприятие планирует вложить деньги в приобретение нового приспособления которое стоит $3,170 и имеет срок службы 4 года с нулевой остаточной стоимостью. Внедрение приспособления по оценкам позволяет обеспечить входной денежный поток $1,000 в течение каждого года. Руководство предприятия позволяет производить инвестиции только в том случае, когда это приводит к отдаче хотя бы 10% в год.

Решение. Сначала произведем обычный расчет чистого современного значения.

Таблица 7.4.
Традиционный расчет NPV

 

Год(ы)

Сумма

денег

Множитель

дисконтирования

Настоящее

значение

Исходная инвестиция

Сейчас

($3,170)

1

($3,170)

Годовой приток денег

(1-4)

$1,000

3.170

$3,170

Таким образом, NPV=0 и проект принимается.

Дальнейший анализ состоит в распределении $1,000 входного потока на две части:

Таблица 7.5.
Расчет распределения денежных потоков

Год

Инвестиция по отношению к данному году

Поток

денег

Отдача от инвестиции

(1)

Возврат

инвестиции

(2) - (3)

Непокрытая

инвестиция

на конец года

(1) - (4)

 

1

2

3

4

5

1

$3,170

$1,000

$317

$683

$2,487

2

$2,487

$1,000

$249

$751

$1,736

3

$1,736

$1,000

$173

$827

$909

4

$909

$1,000

$91

$909

0

       

$3,170

 

7. 4. Влияние инфляции на оценку эффективности инвестиций

Анализ влияния инфляции может быть произведен для двух вариантов

В рамках первого подхода, который в большей степени отвечает реальной ситуации, особенно в странах с нестабильной экономикой, метод чистого современного значения используется в своей стандартной форме, но все составляющие расходов и доходов, а также показатели дисконта корректируются в соответствии с ожидаемым темпом инфляции по годам. Важно отметить, что произвести состоятельный прогноз различных темпов инфляции для различных типов ресурсов представляется чрезвычайно трудной и практически неосуществимой задачей.

В рамках второго подхода влияние инфляции носит своеобразный характер: инфляция влияет на числа (промежуточные значения), получаемые в расчетах, но не влияет на конечный результат и вывод относительно судьбы проекта. Рассмотрим это явление на конкретном примере.

Пример 4. Компания планирует приобрести новое оборудование по цене $36,000, которое обеспечивает $20,000 экономии затрат (в виде входного денежного потока) в год в течение трех ближайших лет. За этот период оборудование подвергнется полному износу. Стоимость капитала предприятия составляет 16%, а ожидаемый темп инфляции - 10% в год.

Сначала оценим проект без учета инфляции. Решение представлено в табл. 7.6.

Таблица 7.6.
Решение без учета инфляции

 

Год

Сумма денег

16%-ный

множитель

Современное значение

Исходная инвестиция

Сейчас

($36,000)

1

($36,000)

Годовая экономия

(1-3)

20,000

2.246

44,920

Чистое современное значение

$8,920

Из расчетов очевиден вывод: проект следует принять, отмечая высокий запас прочности.

Теперь учтем в расчетной схеме эффект инфляции. Прежде всего необходимо учесть влияние инфляции на требуемое значение показателя отдачи. Для этого вспомним следующие простые рассуждения. Пусть предприятие планирует реальную прибыльность своих вложений в соответствии с процентной ставкой 16 %. Это означает, что при инвестировании $36,000 через год оно должно получить $36,000 х (1+0.16) = $41,760. Если темп инфляции составляет 10 %, то необходимо скорректировать эту сумму в соответствии с темпом: $41,760 х (1+0.10) = $45,936. Общий расчет может быть записан следующим образом

$36,000 х (1+0.16) х (1+0.10) = $45,936.

В общем случае, если rр - реальная процентная ставка прибыльности, а Т - темп инфляции, то номинальная (контрактная) норма прибыльности запишется с помощью формулы

Для рассматриваемого примера расчет приведенного показателя стоимости капитала имеет вид:

реальная стоимость капитала

16%;

темп инфляции

10%;

смешанный эффект (10% от 16%)

1.6%;

приведенная стоимость капитала

27.6%.

Рассчитаем величину критерия NPV с учетом инфляции, т.е. пересчитаем все денежные потоки и продисконтируем их с показателем дисконта 27.6%.

Таблица 7.7.
Решение с учетом инфляции

 

Год

Сумма

денег

Индекс

цен

Привед.

денежн.

поток

27.6%-ный

множит.

Наст.

значен.

Исходная инвестиция

Сейчас

($36,000)

-

($36,000)

1,000

($36,000)

Годовая экономия

1

20,000

1.10

22,000

0.7837

17,241

Годовая экономия

2

20,000

1.21

24,200

0.6142

14,864

Годовая экономия

3

20,000

1.331

26,620

0.4814

12,815

Чистое современное значение

$8,920

Ответы обоих решений в точности совпадают. Результаты получились одинаковыми, так как мы скорректировали на инфляцию как входной поток денег, так и показатель отдачи.

По этой причине большая часть фирм западных стран не учитывает инфляцию при расчете эффективности капитальных вложений.

7. 5. Внутренняя норма прибыльности (IRR)

По определению, внутренняя норма прибыльности (иногда говорят доходности) (IRR) - это такое значение показателя дисконта, при котором современное значение инвестиции равно современному значению потоков денежных средств за счет инвестиций, или значение показателя дисконта, при котором обеспечивается нулевое значение чистого настоящего значения инвестиционных вложений.

Экономический смысл внутренней нормы прибыльности состоит в том, что это такая норма доходности инвестиций, при которой предприятию одинаково эффективно инвестировать свой капитал под IRR процентов в какие-либо финансовые инструменты или произвести реальные инвестиции, которые генерируют денежный поток, каждый элемент которого в свою очередь инвестируется по IRR процентов.

Математическое определение внутренней нормы прибыльности предполагает решение следующего уравнения

,

где: CFj - входной денежный поток в j-ый период,
INV - значение инвестиции.

Решая это уравнение, находим значение IRR. Схема принятия решения на основе метода внутренней нормы прибыльности имеет вид:

Таким образом, IRR является как бы “барьерным показателем”: если стоимость капитала выше значения IRR, то “мощности” проекта недостаточно, чтобы обеспечить необходимый возврат и отдачу денег, и следовательно проект следует отклонить.

В общем случае уравнение для определения IRR не может быть решено в конечном виде, хотя существуют ряд частных случаев, когда это возможно. Рассмотрим пример, объясняющий сущность решения.

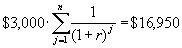
Пример 5. На покупку машины требуется $16,950. Машина в течение 10 лет будет экономить ежегодно $3,000. Остаточная стоимость машины равна нулю. Надо найти IRR.

Найдем отношение требуемого значения инвестиции к ежегодному притоку денег, которое будет совпадать с множителем какого-либо (пока неизвестного) коэффициента дисконтирования

.

Полученное значение фигурирует в формуле определения современного значения аннуитета

.

И, следовательно, с помощью финансовой табл. 4 прил. находим, что для n=10 показатель дисконта составляет 12%. Произведем проверку:

 

Годы

Денежный поток

12% коэффиц.

пересчета

Настоящее

значение

Годовая экономика

(1-10)

$3,000

5.650

$16,950

Исходное инвестирование

Сейчас

(16.950)

1.000

16,950

Таким образом, мы нашли и подтвердили, что IRR=12%. Успех решения был обеспечен совпадением отношения исходной суммы инвестиций к величине денежного потока с конкретным значением множителя дисконта из финансовой таблицы. В общем случае надо пользоваться интерполяцию.

Пример 6. Необходимо оценить значение внутренней нормы доходности инвестиции объемом $6,000, который генерирует денежный поток $1,500 в течение 10 лет.

Следуя прежней схеме рассчитаем коэффициент дисконта:

.

По табл. 4 прил. для n=10 лет находим

Значит значение IRR расположено между 20% и 24%.

Используя линейную интерполяцию находим

.

Существуют более точные методы определения IRR, которые предполагают использование специального финансового калькулятора или электронного процессора EXCEL.

7. 6. Сравнение NPV и IRR методов

К сожалению NPV и IRR методы могут конфликтовать друг с другом. Рассмотрим этот феномен на конкретном примере. Произведем оценку сравнительной эффективности двух проектов с одинаковыми исходными инвестициями, но с различными входными денежными потоками. Исходные данные для расчета эффективности помещены в следующей таблице.

Таблица 7.8
Денежные потоки альтернативных проектов

Год

Проект А

Проект В

0

($1,000)

($1,000)

1

500

100

2

400

300

3

300

400

4

100

600

Для дальнейшего анализа используем так называемый NPV - профиль, который по определению представляет собой зависимость показателя NPV от стоимости капитала проекта.

Рассчитаем NPV для различных значений стоимости капитала.

Таблица 7.9
Показатели NPV для альтернативных проектов

r

Проект А

Проект В

0

300

400

5

180.42

206.50

10

78.82

49.18

15

(8.33)

(80.14)

Графики NPV профилей для проектов будут иметь вид, представленный на рис. 7.1.

Решив уравнения, определяющие внутреннюю норму доходности, получим:

Таким образом, по критерию внутренней нормы доходности предпочтение следует отдать проекту А, как имеющему большее значение IRR. В то же время NPV-метод неоднозначно дает вывод в пользу проекта А.

Рис. 7.1. NPV профили альтернативных проектов

Проанализировав соотношение NPV-профилей, которые имеют пересечение в точке , составляющей в данном случае значение 7.2%, приходим к следующему выводу:

, методы конфликтуют - NPV-метод принимает проект В, IRR-метод принимает проект А.

Следует отметить, что этот конфликт имеет место только при анализе взаимоисключающих друг друга проектов. Для отдельно взятых проектов оба метода дают один и тот же результат, положительное значение NPV всегда соответствует ситуации, когда внутренняя норма доходности превышает стоимость капитала.

7. 7. Принятие решения по критерию наименьшей стоимости

Существуют инвестиционные проекты, в которых трудно или невозможно вычислить денежный доход. Подобного рода проекты возникают на предприятии, когда оно собирается модифицировать технологическое или транспортное оборудование, которое принимает участие во многих разноплановых технологических циклах и невозможно оценить результирующий денежный поток. В этом случае в качестве критерия для принятия решения о целесообразности инвестиций выступает стоимость эксплуатации.

Пример 7. Трактор участвует во многих производственных процессах. Нужно решить эксплуатировать старый или купить новый. Исходные данные для принятия решения имеют следующий вид.

Исходные данные:

Старый
трактор

Новый
трактор

Стоимость покупки

-

$25,000

Остаточная стоимость сейчас

$3,000

-

Годовые денежные затраты на эксплуатацию

15,000

9,000

Капитальный ремонт сейчас

4,000

-

Остаточная стоимость через 6 лет

0

5,000

Время проекта

6 лет

6 лет

Рассчитаем все издержки, которые понесет предприятие, приняв каждую из альтернатив. Для принятия окончательного решения приведем эти издержки к настоящему моменту времени (продисконтируем издержки) и выберем ту альтернативу, которая соответствует меньшему значению дисконтированных издержек.

Таблица 7.10
Расчет дисконтированных издержек при покупке новой машины

 

Годы

Денежный
поток

Коэфф.
пересчета
для 10%

Настоящее значение

Исходные инвестиции

Сейчас

$(25,000)

1.000

$(25,000)

Остаточная стоимость
старого трактора

Сейчас

3,000

1.000

3.000

Годовая стоимость
эксплуатации

1-6

(9,000)

4.355

39,195

Остаточная стоимость
нового трактора

6

5,000

0.564

2,820

Настоящее значение денежных потерь

$(58,375)

Таблица 7.11
Расчет дисконтированных издержек при эксплуатации старой машины

 

Годы

Денежный
поток

Коэфф.
пересчета
для 10%

Настоящее значение

Капитальный ремонт

Сейчас

$(4,000

1.000

$(4,000)

Годовая стоимость
эксплуатации

1-6

(15,000)

4.355

(65,325)

Настоящее значение денежных потерь

$(69,325)

Современное значение дисконтированных издержек говорит в пользу покупки новой машины. В этом случае потери будут на $10,950 меньше.

7. 8. Допущения, принятые при оценке эффективности

В заключение отметим одно важное для понимания инвестиционных технологий обстоятельство: какие допущения принимаются при расчете показателей эффективности и в какой мере они соответствуют реальной практике.

При использовании всех методов существенно были использованы следующие два допущения.

  1. Потоки денежных средств относятся на конец расчетного периода времени. На самом деле они могут появляться в любой момент в течение рассматриваемого года. В рамках рассмотренных выше инвестиционных технологий мы условно приводим все денежные доходы предприятия к концу соответствующего года.
  2. Денежные потоки, которые генерируются инвестициями немедленно инвестируются в какой-либо другой проект, чтобы обеспечить дополнительный доход на эти инвестиции. При этом предполагается, что показатель отдачи второго проекта будет по крайней мере таким же, как показатель дисконтирования анализируемого проекта.

Используемые допущения, разумеется, не полностью соответствуют реальному положению дел, однако, учитывая большую продолжительность проектов в целом, не приводят к серьезным ошибкам в оценке эффективности.

Контрольные вопросы и задания

  1. Сформулируйте основные принципы международной практики оценки эффективности инвестиций.
  2. В чем состоит основная схема оценки эффективности капитальных вложений с учетом стоимости денег во времени?
  3. Перечислите основные показатели эффективности инвестиционных проектов.
  4. В чем сущность метода дисконтированного периода окупаемости?
  5. Как применяется метод дисконтированного периода окупаемости для сравнительной эффективности альтернативных капитальных вложений?
  6. Сформулируйте основной принцип метода чистого современного значения.
  7. Каким критерием руководствуются при анализе сравнительной эффективности капитальных вложений по методу чистого современного значения?
  8. Какова интерпретация чистого современного значения инвестиционного проекта?
  9. Как изменяется значение чистого современного значения при увеличении показателя дисконта?
  10. Какую экономическую сущность имеет показатель дисконта в методе чистого современного значения?
  11. Перечислите типичные входные и выходные денежные потоки, которые следует принимать во внимание при расчете чистого современного значения инвестиционного проекта.
  12. Как распределяется ежегодный денежный доход предприятия, который получается за счет капитального вложения?
  13. Какие два подхода используются для учета инфляции в процессе оценки эффективности капитальных вложений?
  14. Как происходит учет инфляции при оценке показателя дисконта?
  15. Дайте определение внутренней нормы прибыльности инвестиционного проекта?
  16. Сформулируйте сущность метода внутренней нормы прибыльности.
  17. Можно ли в общем случае вычислить точное значение внутренней нормы прибыльности?
  18. Какие Вам известны методы расчета внутренней нормы прибыльности?
  19. Как использовать метод внутренней нормы прибыльности для сравнительного анализа эффективности капитальных вложений?
  20. Каким подходом следует воспользоваться при сравнительной оценке эффективности капитальных вложений, когда трудно или невозможно оценить денежный доход от капитальных вложений?

Задания

1. Предприятие требует как минимум 14 процентов отдачи при инвестировании собственных средств. В настоящее время предприятие располагает возможностью купить новое оборудование стоимостью $84,900. Использование этого оборудования позволит увеличить объем выпускаемой продукции, что в конечном итоге приведет к $15,000 дополнительного годового денежного дохода в течение 15 лет использования оборудования. Вычислите чистое современное значение проекта, предположив нулевую остаточную стоимость оборудования через 15 лет.

Решение.

Расчет проведем используя таблицу, находя множитель дисконтирования с помощью финансовых таблиц.

Наименование денежного потока

Год(ы)

Денежный

поток

Множитель дисконтирования

Настоящее

значение денег

Исходная инвестиция

Сейчас

($84,900)

1

($84,900)

Входной денежный поток

(1-15)

$15,000

6.1422

$92,133

Чистое современное значение

$7,233

Чистое современное значение оказалось положительным, что свидетельствует в пользу принятия проекта.

2. Предприятие планирует новые капитальные вложения в течение двух лет: $120,000 в первом году и $70,000 - во втором. Инвестиционный проект рассчитан на 8 лет с полным освоением вновь введенных мощностей лишь на пятом году, когда планируемый годовой чистый денежный доход составит $62,000. Нарастание чистого годового денежного дохода в первые четыре года по плану составит 30%, 50%, 70%, 90% соответственно по годам от первого до четвертого. Предприятие требует как минимум 16 процентов отдачи при инвестировании денежных средств.

Необходимо определить

Решение.

1. Определим чистые годовые денежные доходы в процессе реализации инвестиционного проекта:

в первый год - $62,000 0.3 = $18,600;

во второй год - $62,000 0.5 = $31,000;

в третий год - $62,000 0.7 = $43,400;

в четвертый год - $62,000 0.9 = $55,800;

во все оставшиеся годы - $62,000.

2. Расчет чистого современного значения инвестиционного проекта произведем с помощью таблицы.

Наименование денежного потока

Год(ы)

Денежный
поток

Множитель дисконтирования

Настоящее
значение денег

Инвестиция

Сейчас

($120,000)

1

$ (120,000)

Инвестиция

1

($70,000)

0.8621

$ (60,347)

Денежный доход

1

$18,600

0.8621

$ 16,035

Денежный доход

2

$31,000

0.7432

$ 23,039

Денежный доход

3

$43,400

0.6407

$ 27,806

Денежный доход

4

$55,800

0.5523

$ 30,818

Денежный доход

5

$62,000

0.4761

$ 29,518

Денежный доход

6

$62,000

0.4104

$ 25,445

Денежный доход

7

$62,000

0.3538

$ 21,936

Денежный доход

8

$62,000

0.3050

$ 18,910

Чистое современное значение инвестиционного проекта

$ 13,161

3. Для определения дисконтированного периода окупаемости рассчитаем величины чистых денежных потоков по годам проекта. Для этого необходимо всего лишь найти алгебраическую сумму двух денежных потоков в первый год проекта. Она составит ($60,347) + $16,035 = ($44,312). Остальные значения в последней колонке предыдущей таблицы представляют собой чистые значения.

4. Расчет дисконтированного периода окупаемости произведем с помощью таблицы, в которой будем рассчитывать накопленный дисконтированный денежный поток по годам проекта.

Год

Дисконтированный денежный поток

Накопленный денежный поток

0

($120,000)

($120,000)

1

($44,312)

($164,312)

2

$23,039

($141,273)

3

$27,806

($113,466)

4

$30,818

($82,648)

5

$29,518

($53,130)

6

$25,445

($27,685)

7

$21,936

($5,749)

8

$18,910

$13,161

Из таблицы видно, что число полных лет окупаемости проекта составляет 7. Дисконтированный срок окупаемости поэтому составит

года.

3. Предприятие имеет два варианта инвестирования имеющихся у него $100,000. В первом варианте предприятие вкладывает в основные средства, приобретая новое оборудование, которое через 6 лет (срок инвестиционного проекта) может быть продано за $8,000; чистый годовой денежный доход от такой инвестиции оценивается в $21,000.

Согласно второму варианту предприятие может инвестировать деньги в рабочий капитал (товарно-материальные запасы, увеличение дебиторских) и это позволит получать $16,000 годового чистого денежного дохода в течение тех же шести лет. Необходимо учесть, что по окончании этого периода рабочий капитал высвобождается (продаются товарно-материальные запасы, закрываются дебиторские счета).

Какой вариант следует предпочесть, если предприятие рассчитывает на 12% отдачи на инвестируемые им денежные средства? Воспользоваться методом чистого современного значения.

Решение.

1. Представим исходные данные задачи в компактном виде.

Проект

1

2

Инвестиции в основные средства.....................

$100,000

-

Инвестиции в рабочий капитал........................

-

$100,000

Годовой денежный доход..................................

$21,000

$16,000

Остаточная стоимость оборудования ...............

$8,000

-

Высвобождение рабочего капитала..................

-

$100,000

Время проекта....................................................

6 лет

6 лет

Заметим еще раз, что рабочий капитал и оборудование планируются быть реализованными только по истечении 6 лет.

2. Произведем расчеты чистого современного значения для первого проекта.

Наименование
денежного потока

Год(ы)

Денежный
поток

Множитель дисконтирования

Настоящее
значение денег

Инвестиция

Сейчас

($100,000)

1.000

($100,000)

Денежный доход

1-6

$21,000

4.112

$86,352

Продажа оборудов.

6

$8,000

0.507

$4.056

Чистое современное значение

($9,592)

3. Аналогичные расчеты проведем для второго проекта

Наименование
денежного потока

Год(ы)

Денежный
поток

Множитель дисконтирования

Настоящее
значение денег

Инвестиция

Сейчас

($100,000)

1.000

($100,000)

Денежный доход

1-6

$16,000

4.112

$65,792

Высвобождение

6

$100,000

0.507

$50,700

Чистое современное значение

$16,492

4. По результатам расчетов можно сделать следующие выводы:

4. Предприятие планирует крупный инвестиционный проект, предусматривающий приобретение основных средств и капитальный ремонт оборудования, а также вложения в оборотные средства по следующей схеме:

В конце инвестиционного проекта предприятие рассчитывает реализовать оставшиеся основные средства по их балансовой стоимости $25,000 и высвободить часть оборотных средств стоимостью $35,000.

Результатом инвестиционного проекта должны служить следующие чистые (т.е. после уплаты налогов) денежные доходы:

1 год

2 год

3 год

4 год

5 год

6 год

7 год

8 год

$20,000

$40,000

$40,000

$40,000

$50,000

$50,000

$20,000

$10,000

Необходимо рассчитать чистое современное значение инвестиционного проекта и сделать вывод о его эффективности при условии 12-ти процентной требуемой прибыльности предприятия на свои инвестиции.

Решение.

Схема решения задачи остается прежней. Составляем таблицу расчетных данных и определяем дисконтированные значения всех денежных потоков.

Проект следует принять, поскольку его чистое современное значение существенно положительное.

Наименование денежного потока

Год

Денежный
поток

Множитель дисконта

Настоящее
значение денег

Приобретение основных средств

0

($130,000)

1

($130,000)

Инвестирование в оборотные средства

1

($25,000)

0.893

($22,325)

Денежный доход в первый год

1

$20,000

0.893

$17,860

Инвестирование в оборотные средства

2

($20,000)

0.797

($15,940)

Денежный доход во второй год

2

$40,000

0.797

$31,880

Денежный доход в третий год

3

$40,000

0.712

$28,480

Денежный доход в четвертый год

4

$40,000

0.636

$25,440

Приобретение основных средств

4

($15,000)

0.636

($9,540)

Денежный доход в пятый год

5

$50,000

0.567

$28,350

Ремонт оборудования

6

($10,000)

0.507

($5,070)

Денежный доход в шестой год

6

$50,000

0.507

$25,350

Денежный доход в седьмой год

7

$20,000

0.452

$9,040

Денежный доход в восьмой год

8

$10,000

0.404

$4,040

Продажа оборудования

8

$25,000

0.404

$10,100

Высвобождение оборотных средств

8

$35,000

0.404

$14,140

Чистое современное значение

$11,805

5. Предприятие требует как минимум 18 процентов отдачи при инвестировании собственных средств. В настоящее время предприятие располагает возможностью купить новое оборудование стоимостью $84,500. Использование этого оборудования позволит увеличить объем выпускаемой продукции, что в конечном итоге приведет к $17,000 дополнительного годового денежного дохода в течение 15 лет использования оборудования. Вычислите чистое современное значение проекта, предположив, что после окончания проекта оборудование может быть продано по остаточной стоимости $2,500.

6. Предприятие планирует новые капитальные вложения в течение трех лет: $90,000 в первом году, $70,000 - во втором и $50,000 - третьем. Инвестиционный проект рассчитан на 10 лет с полным освоением вновь введенных мощностей лишь на пятом году, когда планируемый годовой чистый денежный доход составит $75,000. Нарастание чистого годового денежного дохода в первые четыре года по плану составит 40%, 50%, 70%, 90% соответственно по годам от первого до четвертого. Предприятие требует как минимум 18 процентов отдачи при инвестировании денежных средств.

Необходимо определить

Как изменится Ваше представление об эффективности проекта, если требуемый показатель отдачи составит 20%.

7. Предприятие имеет два варианта инвестирования имеющихся у него $200,000. В первом варианте предприятие вкладывает в основные средства, приобретая новое оборудование, которое через 6 лет (срок инвестиционного проекта) может быть продано за $14,000; чистый годовой денежный доход от такой инвестиции оценивается в $53,000.

Согласно второму варианту предприятие может инвестировать деньги частично ($40,000) в приобретение новой оснастки, а оставшуюся сумму в рабочий капитал (товарно-материальные запасы, увеличение дебиторских). Это позволит получать $,34000 годового чистого денежного дохода в течение тех же шести лет. Необходимо учесть, что по окончании этого периода рабочий капитал высвобождается (продаются товарно-материальные запасы, закрываются дебиторские счета).

Какой вариант следует предпочесть, если предприятие рассчитывает на 14% отдачи на инвестируемые им денежные средства? Воспользоваться методом чистого современного значения.

8. Предприятие рассматривает инвестиционный проект, предусматривающий приобретение основных средств и капитальный ремонт оборудования, а также вложения в оборотные средства по следующей схеме:

В конце инвестиционного проекта предприятие рассчитывает реализовать оставшиеся основные средства по их балансовой стоимости $15,000 и высвободить оборотные средства.

Результатом инвестиционного проекта должны служить следующие чистые (т.е. после уплаты налогов) денежные доходы:

1 год

2 год

3 год

4 год

5 год

6 год

7 год

8 год

$15,000

$25,000

$30,000

$40,000

$40,000

$40,000

$30,000

$20,000

Необходимо рассчитать чистое современное значение инвестиционного проекта и сделать вывод о его эффективности при условии 14-ти процентной требуемой прибыльности предприятия на свои инвестиции.

9. Проект, требующий инвестиций в размере $160000, предполагает получение годового дохода в размере $30000 на протяжении 15 лет. Оцените целесообразность такой инвестиции, если коэффициент дисконтирования - 15%.

10. Проект, рассчитанный на 15 лет, требует инвестиций в размере $150000. В первые 5 лет никаких поступлений не ожидается, однако в последующие 10 лет ежегодный доход составит $50000. Следует ли принять этот проект, если коэффициент дисконтирования равен 15%?

11. Анализируются проекты ($):

 

IC

C1

C2

А

-4000

2500

3000

Б

-2000

1200

1500

Ранжируйте проекты по критериям IRR, NPV, если r = 10%.

12. Для каждого из нижеприведенных проектов рассчитайте NPV и IRR, если значение коэффициента дисконтирования равно 20%.

А

-370

-

-

-

-

1000

В

-240

60

60

60

60

-

С

-263,5

100

100

100

100

100

13. Проанализируйте два альтернативных проекта, если цена капитала 10%.

А

-100

120

     

Б

-100

-

-

-

174

14. Сравните по критериям NPV, IRR два проекта, если стоимость капитала 13%:

А

-20000

7000

7000

7000

7000

Б

-25000

2500

5000

10000

20000

15. Величина требуемых инвестиций по проекту равна $18000; предполагаемые доходы: в первый год - $1500, в последующие 8 лет по $3600 ежегодно. Оцените целесообразность принятия проекта, если стоимость капитала 10%.

16. Предприятие рассматривает целесообразность приобретения новой технологической линии. На рынке имеются две модели со следующими параметрами ($)

 

П1

П2

Цена

9500

13000

Генерируемый годовой доход

2100

2250

Срок эксплуатации

8 лет

12 лет

Ликвидационная стоимость

500

800

Требуемая норма доходности

11%

11%

Какой проект Вы предпочтете?