ПЕРСПЕКТИВЫ РАЗВИТИЯ И ЭФФЕКТИВНОСТЬ НОВЫХ
СПОСОБОВ СОХРАНЕНИЯ УСТОЙЧИВОСТИ ВЫЕМОЧНЫХ
ВЫРАБОТОК ГЛУБОКИХ ШАХТ
Захаров В.С. (шахта “Южнодонбасская”№3), Мартыненко В.Ф. (шахта
им. Е.Т. Абакумова), Каплюхин А.А. (ДонГТУ)
The ways of preservation of the deep mines preparatory working-outs stability effectiveness analysis has been carried out
Опыт ведения горных работ в условиях глубоких шахт Донбасса показывает, что проблема поддержания выемочных выработок в зоне влияния очистных забоев является одной из основных задач совершенствования технологии добычи угля.
Детальное рассмотрение всех способов сохранения устойчивости выемочных выработок на участке активного влияния очистных забоев весьма затруднительно вследствие большого объема проведенных исследований, разнородности и несовместимости полученных при этом положительных и негативных результатов. Более рациональным, с нашей точки зрения, является анализ новых способов охраны и крепления выработок, которые за счет учета особенностей проявления горного давления обеспечивают эффективное поддержание выемочных выработок глубоких шахт.
В настоящее время для классификации способов управления горным давлением в подготовительных выработках используются три основные классификационные признака
[1]: расположение, охрана и поддержание выработок.По признаку расположения существуют способы проведения выработок в прочных породах (полевые выработки) и в зонах пониженных напряжений (в подработанной или надработанной толще; по обрушенным и уплотненным породам; вблизи или вприсечку к выработанному пространству).
Охрана выработок представляет собой управление проявлениями горного давления в их окрестности посредством возведения искусственных (бутовых полос, костров и бутокостров, органных рядов, стенок из железобетонных блоков, монолитных полос из твердеющих материалов) или естественных (оставление целиков угля) сооружений.
Признак поддержания выработок заключается в: формоизменении поперечного сечения, изменении типа крепи, увеличении поперечного сечения выработки, в активном воздействии на боковые породы путем их разгрузки или упрочнения для технологического управления свойствами и состоянием массива пород.
Для анализа способов сохранения устойчивости выемочных выработок в зоне влияния очистных работ по нашему мнению более целесообразным будет разделение этих способов на две группы.
К первой группе следует отнести способы, предусматривающие активное силовое противодействие горному давлению увеличением несущей способности крепи выработки и охранных конструкций на ее сопряжении с выработанным пространством.
Во вторую группу целесообразно включить способы, которые направлены на благоприятное для сохранения устойчивости выработки перераспределение напряжений в окружающих ее породах.
Активные силовые способы сохранения устойчивости выработок характеризуются режимом нарастающей нагрузки при постоянной или незначительно увеличивающейся деформации. При достижении предельных нагрузок происходит интенсивное разрушение боковых пород, крепи и опорных конструкций, что сопряжено с необходимостью выполнения больших объемов высоко затратных и небезопасных работ по ремонту и перекреплению выработок.
К числу этих способов относится применение различного вида предварительного и последующего распора крепи и боковых пород; применение арочной крепи повышенной несущей способности; применение комбинированных арочно-анкерных крепей, использование инъекционного упрочнения слабых или предварительно разгруженных пород; тампонаж закрепного пространства твердеющими материалами; возведение литых полос из
твердеющих материалов по бровке выемочной выработки вслед за очистным забоем.В перечисленных выше способах активное силовое противодействие перемещению боковых пород в технологическое пространство поддерживаемой выработки вызывает неблагоприятное перераспределение напряжений вокруг выработок и приводит к дальнейшему усложнению условий их поддержания и охраны.
Более рациональными являются геомеханические способы сохранения устойчивости выработок, технологическая сущность которых заключается в создании вокруг выработок благоприятной геомеханической обстановки.
Они предполагают создание в горном массиве различных полостей разгрузки или специальных зон, в которых из горных пород создаются грузонесущие или самораспорные конструкции, обеспечивающие эффективное противодействие вредным проявлениям горного давления.
К этим способам охраны относятся широко известные но достаточно дорогостоящие способы проведения выемочных выработок полевыми; в зонах разгрузки под выработанным пространством разгрузочных лав; по выработанному пространству в обрушенных и уплотненных породах; с односторонней или двусторонней раскоской; вприсечку к выработанному пространству ранее отработанных лав; щелевая и взрывощелевая разгрузка слабых пород почвы, передовое отсечное торпедирование
прочных пород основной кровли.Опыт применения перечисленных способов в различных горно-геологических условиях показывает, что с увеличением глубины разработки часть из них уже не соответствует особенностям проявления горного давления и даже при значительных затратах на их выполнения не обеспечивают необходимые технологические параметры охраняемых выработок.
По нашему мнению перспективными в плане применения на больших глубинах являются следующие способы: присечное проведение выемочных выработок; возведение бутовых полос закладочными комплексами “Титан” при сплошных системах разработки и литых составных полос при столбовых системах разработки; передовое обрезное торпедирование зависающих над выработкой прочных пород основной кровли; взрывощелевая разгрузка
слабых пород почвы; применение арочных крепей направленной податливости и повышенной несущей способности типа АПК.Эти способы крепления и охраны прошли широкую апробацию в достаточно представительных условиях больших глубин разработки и подтвердили свою высокую эффективность. Однако в настоящее время они не нашли широкого применения в угольной промышленности Украины в силу консерватизма руководства предприятий и технологических служб, отсутствия средств на опытно-промышленную проверку новых способов и уточнения их параметров для конкретных условий применения. Кроме того, эффективность применения новых способов сохранения устойчивости выемочных выработок снижается из-за весьма низкого качества выполнения работ при реализации охранных мероприятий.
Эффективная работа основной крепи подготовительной выработки, в части обеспечения ее высокой несущей способности и конструктивной податливости, во многом предопределяется соответствием формы крепи условиям применения и характеру распределения нагрузки по периметру крепи. Поэтому для сохранения устойчивости выемочных выработок на сопряжениях с очистными забоями, где наблюдаются наиболее интенсивные проявления горного давления, применяются разнообразные крепи усиления.
Эти крепи можно разделить на три основные группы
[2]:- индивидуальные деревянные (реже металлические) крепи разового использования;
- инвентарные крепи многократного использования, включающие гидравлические стойки или стойки трения, устанавливаемые под одиночные или спаренные металлические прогоны или балки, располагаемые в выработке в створе с лавой и подвешиваемые к верхнякам крепи;
- механизированные крепи сопряжений, которые по характеру взаимодействия с боковыми породами подразделяются на поддерживающие и оградительно-поддерживающие.
Однако вышеперечисленные крепи усиления в условиях глубоких шахт не обеспечивают безремонтное или малоремонтное поддержание выработок в зоне влияния очистных работ.
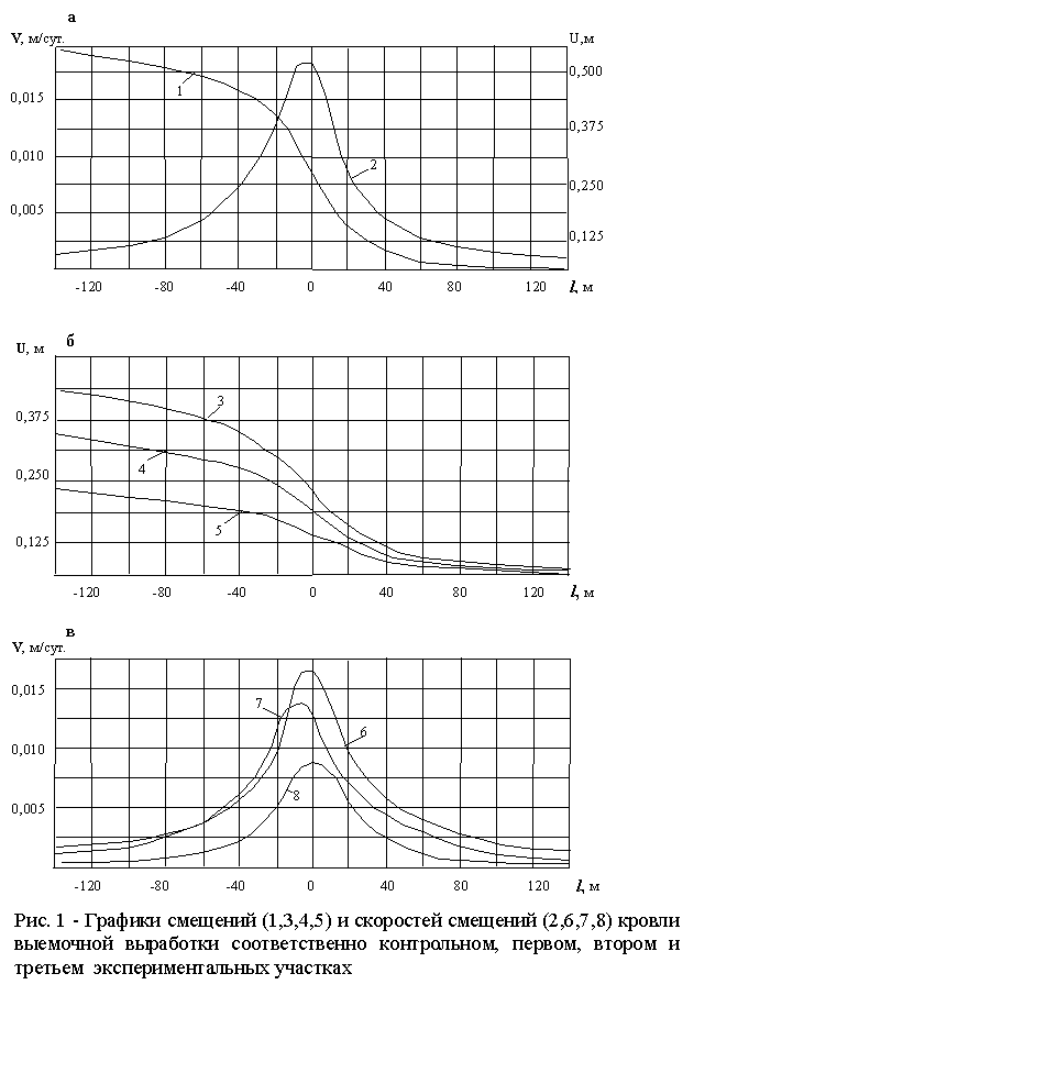
С этой целью на шахте “Южнодонбасская №3” сотрудниками ДонГТУ были проведены исследования по промышленной проверке нового способа сохранения устойчивости выемочной выработки за счет каркасного усиления основной крепи
[3]. Каркасная усиливающая крепь представляет собой длинную жесткую балку из двутавра (№14-16), подвешиваемую на отрезках металлической конвейерной цепи к верхнякам крепи до начала зоны влияния опорного давления лавы. Для предотвращения искривления профиля верхняка крепи между ним и балкой вставляется криволинейный сегмент (длиной 2,8-3,0 м) из спецпрофиля, соединяемый с верхняком крепи по своим концам двумя хомутами.Исследования проводились в вентиляционном выемочном ходке 4-й восточной лавы пласта с
11 шахты “Южнодонбасская №3” на трех экспериментальных и одном контрольном участках с длиной каждого по 40 м. Выработка была проведены с двусторонней подрывкой вприсечку к выработанному пространству ранее отработанной 3-й восточной лавы с оставлением целика угля шириной 4 м.За время эксперимента на трех экспериментальных участках были опробованы три различных варианта каркасной усиливающей крепи.
На первом экспериментальном участке была установлена 1 балка каркасной усиливающей крепи с отрезками металлических сегментов из спецпрофиля, на втором участке – одна аналогичная первому участку балка с вертикальными усиливающими анкерами на каждой крепи; на третьем участке крепь усиления состояла из 2 балок усиливающей крепи с анкерами, причем балки подвешивались к верхнякам крепи параллельно вдоль выработки на расстоянии 1,5 м, а анкера бурились с наклоном в противоположные стороны друг от друга под углом 30
0 к вертикальной оси выработки.Результаты опытно-промышленной проверки подтвердили высокую эффективность предложенной каркасной усиливающей крепи. На первом экспериментальном участке общие смещения пород кровли по результатам замеров были снижены на 25-30%, на втором – на 35-50%, а на третьем в 1,5 –2 раза (рис. 1). Полученный результат можно объяснить эффектом перераспределения несущей способности между разнозагруженными комплектами арочной крепи с помощью жесткой усиливающей крепи
[3].Оценивая перспективы развития угледобычи на глубоких шахтах Донбасса, следует отметить, что с дальнейшим увеличением глубины разработки общее состояние выемочных выработок (в плане сохранения их устойчивости) будет ухудшаться. Анализ технологических решений по сохранению устойчивости подготовительных горных выработок в зоне влияния очистных работ показал, что геомеханические и комбинированные способы более эффективны по сравнению с чисто силовыми, так как направлены не на малоэффективное противодействие проявлениям горного давления, а на создание возможности перераспределения, дробления и локализации его вредного воздействия на особо жизненно важных технологических участках.

Поэтому
, по нашему мнению, одним из перспективных вариантов сохранения устойчивости выемочных выработок глубоких шахт в зоне влияния очистного забоя является комбинированный способ, включающий крепление выработки арочной крепью направленной податливости типа АПК, жестко-каркасное усиление основной крепи в зоне опорного давления лавы, взрывощелевая разгрузка почвы и передовое обрезное торпедирование прочных пород основной кровли.Список литературы:
1.
Черняк И.Л., Ярунин С.А. Управление состоянием массива горных пород – М.: Недра, 1995. 395с.2
. Широков А.П., Лидер В.А., Петров А.И. Крепление сопряжений лав – М.: Недра, 1987. – 192с.3.
Бондаренко Ю.В., Соловьев Г.И., Захаров В.С. Изменения деформаций контура кровли выемочной выработки при использовании каркасной крепи усиления // Известия Донецкого горного института. 1999. №1. С.66-70.