|
Расчет нагрева обмоток глубокопазного асинхронного двигателя в пусковом
режиме
Техническая электродинамика. - 1984. -
№2. - С. 80 - 86
Бурковский А. Н., Голянд Б. С.,
Кублицкая Т. В., Родионенко Г. Я.
Задача определения допустимого числа
включений подряд глубокопазнных асинхронных двигателей является весьма
актуальной и наиболее точно может быть решена на основе расчета полей
температур в обмотках при пусках. Способ расчета, изложенный в работе [б],
пригоден лишь для определения средних превышений температур по высоте
стержня ротора, что приемлемо лишь для двигателей с простой геометрией
паза ротора (с малым влиянием вытеснения тока). В глубокопазных роторах во
время переходного процесса превышения температур по высоте стержня резко
изменяются из-за неравномерной плотности потерь (например, при коротком
замыкании разница превышений температур верхней и нижней части стержня
достигает 80—100 °С [4]). Поэтому для достижения достаточной точности
расчета в математической модели необходимо учесть реальные зависимости
изменения пусковых потерь в обмотках статора и ротора от времени пуска и
изменения плотности потерь по высоте стержня ротора.
При пуске электромагнитные параметры
двигателя, плотность потерь в обмотках и теплоотдача с их
поверхностей изменяются во времени по нелинейным зависимостям. Поэтому
целесообразно разделить время пуска на ряд интервалов, в пределах каждого
из которых указанные величины могут быть представлены их средними
значениями. Это позволит рассчитывать нагревы обмоток статора и ротора на
каждом интервале скольжения с усредненными значениями параметров схем
замещения. Тепловые схемы замещения статора и ротора составляют таким
образом, чтобы можно было непосредственно определить нагревы наиболее
теплонапряженных участков обмоток и железа сердечников. На рис. 1 [1]
показаны тепловые схемы замещения статора (а) и ротора (б).
Особенностью первой схемы является наличие четырех узлов, моделирующих
изоляцию вдоль секции (расчетная точка на середине
толщины изоляции), а во второй схеме — стержень обмотки по высоте
моделируется четырьмя участками с постоянной (условно) на каждом участке
плотностью потерь в пределах интервала времени изменения скольжения на
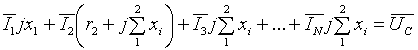
. Расчет начинается с вычисления средней величины тока статора и
потерь энергии, выделяемой в обмотках статора и ротора на данном интервале
скольжения 
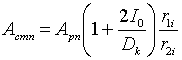
Токовую характеристику рассчитывают по
следующей формуле [2]:

—угловая частота роторного тока;
—
критическая угловая
частота (критическое скольжение);
— коэффициент рассеяния.
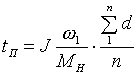
Время пуска:
, (2)
где — момент инерции вращающихся масс;
— угловая частота вращения;
номинальное и текущее значения
момента двигателя; — момент сопротивления. Общее количество тепла, выделившегося в
обмотке ротора за время пуска (электромагнитный переходный процесс не
учитывается), определяется следующим образом:
, (3)
Принимая на каждом интервале
скольжения
значения моментов М и Мс равными их средним значениям, произведем
расчет заменой интегралов суммами. Вначале вычисляют коэффициенты
;
;
;
;
;
при фиксированных значениях скольжения
от 1 до для двигателей мощностью
более 200 кВт при 2р=2,4 целесообразно выбрать =0,1). При этом моментная ха-рактеристика задается с учетом
реального изменения величины напряжения на зажимах двигателя при пуске.
Тогда
, (4)
, (5)
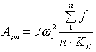
где n—число интервалов
скольжения;Kп—коэффициент пропорциональности. Общее количество
тепла в обмотке статора за время пуска:
, (6)
где Dk—диаметр круговой диаграммы;
— ток холостого хода.
Интервал времени, на протяжении которого скольжение изменяется на
:
, (7)>
. (8)
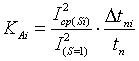
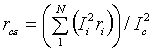
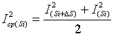
Средний квадрат тока на i-м интервале
скольжения:
. (9)
Коэффициент пропорциональности
потерь:
. (10)
Далее производят расчет распределения
потерь по высоте стержня ротора и по узлам схемы замещения. Для расчета
распределения плотности тока стержень ротора по высоте разделен на ряд
(N) слоев с условно постоянной плотностью тока внутри каждого слоя
(например, бутылочнообразный паз—на 10 слоев, пусковая часть обмотки—на 6
слоев, а рабочая—на 4). Коэффициенты магнитной проводимости
принятых участков паза
ротора рассчитываются по работе [3] с
учетом [5]. Индуктивные сопротивления каждого
слоя на данном интервале скольжения (средние) определяются следующим
образом:
, (11)
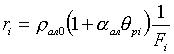
а активные сопротивления слоев:
, (12)
где
— поперечные сечения слоев;
— превышение температуры i-го слоя.
В схеме замещения стержня
,
...—токи в элементарных слоях, а
полный ток стержня. Токи в слоях
определяются из системы уравнений [3]:
;
;
…………………………………………………………..
…………………………………………………………..
…………………………………………………………..
,
где
— напряжение на единицу
длины стержня. Активное сопротивление стержня ротора (на единицу длины) запишем следующим
образом:
а) с учетом вытеснения тока
; (13)
б) без учета вытеснения тока
, (14)
где
— среднее превышение температуры
стержня. Коэффициент увеличения активного сопротивления стержня
. Параметры электрической схемы
замещения ротора:
а) сопротивление стержня
, где
– длина стержня ротора;
б) сопротивление кольца
, (15)
где
, a , b —диаметр, высота и
ширина кольца; — превышение температуры
короткозамыкающего кольца.
Потери энергии в обмотке статора:
. (16)
Потери энергии в обмотке ротора:
. (17)
Потери энергии в стержнях:
. (18)
Потери энергии в кольцах:
. (19)
Тепловые схемы замещения описываются
системами обыкновенных дифференциальных уравнений, при этом в главных
коэффициентах матрицы проводимостей учитывается изменение греющих потерь
при изменении температуры [I]. Тепловые проводимости конвективно-го
теплообмена рассчитываются по средним значениям частоты вращения на каждом
интервале скольжения. За время выбега после отключения указанные
проводимости рассчитываются по средней частоте вращения, а во время паузы
учитывается естественная конвекция и лучеиспускание. Затем проводится
расчет нагрева обмоток статора и ротора. Результаты расчета нагрева
обмотки статора за время пуска фиксируются и сравниваются с допустимым
превышением температуры. Если превышения температуры всех узлов меньше
допустимых, то производится расчет кривой остывания (во время паузы),
расчет следующего пуска и т. д. При достижении допустимого превышения
температуры во время очередного пуска расчет заканчивается, при этом
фиксируется число пусков и кривая нагрева. После расчета нагрева ротора на
первом интервале времени пуска фиксируются превышения температур, далее
производится расчет распределения потерь по высоте при новом распределении
превышений температур, выполняется расчет нагрева на следующем интервале
времени и т. д. до завершения пуска; максимальное превышение температуры
сравнивается с 'допустимым и т. д. (как для обмотки
статора).
Программа расчета допустимого числа
включений двигателей подряд оформлена в виде цикла, изменяемым параметром
которого является номер интервала скольжения и, соответственно, значение
скольжения на данном интервале. По окончании расчета очередного пуска
производится сравнение температур точек схем замещения статора и ротора
допустимыми температурами. Если значения расчетных температур меньше
допустимых, то рассчитывается остывание двигателя во время паузы и
очередной пуск, в противном случае счет прекращается.
Для решения систем обыкновенных
дифференциальных уравнений использован метод Рунге—Кутта, который
позволяет интегрировать с переменным шагом, что сокращает время решения
систем уравнений. Так как программа достаточно объемная, то для удобства
трансляции отдельные ее блоки оформлены в виде автономных процедур.
Применяя этот режим, можно устранить большинство количественных
ограничений, присущих транслятору, так как в автономно запрограммированной
процедуре все локализованные в ней величины и константы располагаются в
самой процедуре. Машинное время экономится за счет того, что процедуры
повторно не транслируются. В режиме автономной трансляции процедур
оформлены следующие блоки программы:
расчет распределения потерь в функции
времени пуска, расчет параметров тепловой схемы замещения статора, расчет
нагрева обмотки статора во время пуска и ее охлаждения во время паузы,
расчет параметров тепловой схемы замещения ротора.
По окончании расчета печатаются
значения температур во всех точках схем замещения статора и ротора по всем
пускам, а также количество пусков. Печать результатов сопровождается
текстовыми пояснениями. Для пояснения логической структуры программы
введены комментарии. Программа расчета нагрева обмоток двигателя при
пусках подряд составлена на языке АЛГОЛ-60 для транслятора TA-IM на ЭВМ
М-222.
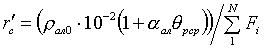
Для проверки точности методики
выполнен расчет нагрева при пусках двигателя ВА02 450LB-4 мощностью 400
кВт с бутылочнооб-разным пазом ротора: пуски под нагрузкой с моментом
сопротивления
(об/мин), момент инерции FJ=4,4, интервалы между пусками—
/о=30 с. На рис. 2 показаны кривые нагрева ротора при выполнении 10 пусков
подряд. На протяжении первого пуска с холодного состояния (расчетное время
пуска 3,9 с, на опыте 4,5 с) превышение температуры верхней части стержня
(узел 1) достигает максимального значения (120°С) при скольжении
S=0,5—0,4, а затем за счет резкого уменьшения плотности потерь
незначительно снижается. Максимальное превышение температуры в нижней
части пусковой обмотки наступает несколько позже, а в рабочей части
обмотки нагрев увеличивается в связи с увеличением плотности потерь до
момента отключения. Участки зубца, смежные со стержнем ротора, за время
пуска нагреваются по нелинейной зависимости от 0 до 10—15 °С. За время
паузы (30 с) превышения температуры всех частей стержня снижаются до 24
°С, а зубец нагревается до 20—24 °С. За время следующего цикла картина
повторяется. Экспериментальные измерения произведены с помощью термопар,
установленных в верхних частях стержней ротора (на глубине 3 мм).
Измерения производились после проведения серий пусков по 2, 4, 10 с
экстраполяцией на момент. Естественно, такие измерения позволяют судить
лишь об усредненных нагревах и не могут быть основанием для оценки
точности расчета мгновенных значений превышений температур. Если принять
за допустимое превышение температуры литой алюминиевой клетки 300 °С, то
допустимое число включений нагрева ротора — 8. В [1] показаны кривые
нагрева обмотки статора в пусковых режимах. За первый пуск все участки
обмотки нагреваются на 20 °С, а за паузу остывают на 5 "С. В следующих
пусках за счет конвективного теплообмена превышения температуры лобовых
частей несколько снижаются по сравнению с пазовой зоной , а затем снова
выравниваются, очевидно, за счет передачи тепла вдоль обмотки. Изоляция в
пазу и лобовой части нагревается по различным зависимостям; за время пуска
превышение температуры изоляции увеличивается на 0,4— 0,7 °С, а за время
паузы возрастает на 3,5—6,5 °С, причем прирост превышения температуры в
пазу примерно в два раза меньше, чем в лобовой части. Экспериментальные
измерения произведены по методу сопротивления. Допустимое число включений
подряд из условия нагрева обмотки статора (изоляции класса В) —
восемь. Исходя из результатов расчета следует отметить, что тепловая схема
замещения статора может быть упрощена без значительной погрешности за счет
уменьшения числа тел.
В заключение можно отметить, что
описанный способ расчета нагрева обмоток асинхронного двигателя в пусковых
режимах применим для двигателей различных конструкций, отличающихся между
собой формами пазов, уровнями напряжения на зажимах и формами
характеристик момента сопротивления.
1.
Бурковский А. Н., Ковалев Е. Б., Коробов В. К. Нагрев и охлаждение
электродвигателей взрывонепроницаемого исполнения.—М.: Энергия, 1970.—185
с.
2.
Немченко Н. М. Отношение тока асинхронного двигателя к его току
холостого хода, как функция скольжения.—Изв. вузов. Электромеханика, 1981,
№3, с. 281— 284.
3.
Проектирование электрических машин/Под ред. И. П. Копылова, М.:
Энергия, 1980.—495 с.
4. Сарач
А. А. Исследование нагрева короткозамкнутых роторов асинхронных
двигателей в режиме короткого замыкания с учетом вытеснения тока. Автореф.
дис. ... канд. техн. наук, Новочеркасск, НПИ, 1976.—15
с.
5.
Филиппов М. Н. О расчете коэффициентов проводимости пазового
рассеяния электрических машин.—В кн.: Разработка и исследование
взрывозащищенного электрооборудования. Донецк, 1981, с.
40—48.
6.
Чертков М. А. Расчет нагрева обмоток асинхронного двигателя при
пуске.—Электричество, 1979, №6. с. 48—51.
|