Дослідження, що виконані під керівництвом к.т.н., доцента Новікова Євгена Миколайовича
(кафедра ГЕА, ДонНТУ)
МАССОПЕРЕНОС В ТЕРМОКАТАЛИТИЧЕСКИХ ДАТЧИКАХ МЕТАНА В РУДНИЧНОЙ АТМОСФЕРЕ
Новикова К.Е., Порватов С.Д., студенты; Новиков Е.Н., доцент, к.т.н.
(Донецкий национальный технический университет, г. Донецк, Украина)
Автоматизація технологічних об’єктів та процесів. Пошук молодих. Збірник наукових праць 3-ї Міжнародної науково-технічної конференції аспірантів та студентів в м. Донецьку 14–15. 05. 2003 р.- Донецьк, ДонНТУ, 2003 – 473 с. с.75
В 1948 г. профессором В. С. Кравченко [1] был предложен простой способ контроля
метана и других горючих газов, основанный на термокаталитическом (термохимическом)
принципе с использованием низкотемпературных катализа-торов, который обладал
необходимыми предпосылками для создания надежных непрерывно действующих измерителей
метана. Впоследствии после глубокой научно-исследовательской и конструкторской проработки
он был положен в основу всех отечественных шахтных автоматических средств контроля метана
в рудничной атмосфере и большинства общепромышленных непрерывно-действующих сигнализаторов
и определителей метана и других горючих газов в воздухе. Предложенный способ был д
альнейшим развитием известного в практике газового анализа термокаталитического метода
и сводился к применению в качестве первичных преобразовательных элементов низкотемпера-
турных катализаторов (вместо накаленных платиновых нитей), работающих в режиме
естественного диффузионного массопереноса анализируемой смеси.
Сигнал, пропорциональный концентрации метана, формируется на каталитически
активном элементе за счет повышения температуры на поверхности элемента в результате
горения метана и изменения сопротивления делали из платинового провода, который владеет
достаточно высоким значением температурного коэффициента сопротивления (TKС).
Таким образом, увеличение сопротивления платинового провода
является мерилом
концентрации метана. Превращение
в электрический сигнал осуществляется путем
подключения платиновой спирали в одно из плеч мостовой измерительной схемы.
Для компенсации измерения окружающей температуры, давления и других не измеряемых
параметров атмосферы в смежное плечо мостовой измерительной схемы подключается
компенсационный элемент, который по своим характеристикам и конструктивному выполнению
аналогичный каталитически активному элементу и отличается только отсутствием активного
покрытия, и метан на нем не окисляется.
Каталитически активный и компенсационный элементы, которые соответственно дальше
будут называться рабочий превращающий элемент (ТПЭ) и компенсационный ТПЭ, содержатся
в реакционную камеру и образуют датчик метана. Реакционная камера являет собой полость,
стенками которой служит газообменный фильтр, выполненный из пористой металлокерамики или
керамики (в большинстве ранних конструкциях в качествах газообменного фильтра
использовалась двойная металлическая сетка).
Соединение газообменного фильтра с другими элементами конструкции камеры
осуществляется с соблюдением требований Правил изготовления взрывозащищенного
электрооборудования, потому что газообменный фильтр служит не только для сообщения
ТПЭ с анализируемой средой, но и является средством взрывозащиты. Толщина стенок
газообменного фильтра , количество и размер пор выбираются из условия обеспечение
необходимой проницаемости, достаточно высокого гидравлического сопротивления и
удовлетворительная прочность фильтра .
С переходом на керамические и металлокерамические фильтры появилась возможность
при изготовлении фильтров формировать величину гидродинамического сопротивления
и выбирать ее значение, что удовлетворяет условиям газообмена через фильтр практически
только за счет молекулярной диффузии.
Рассмотрим взрывозащищенную реакционную камеру цилиндровой формы.
Для достаточно узких щелей, в которых зазор равняется толщине пограничного слоя,
при протекании газа через щель существенную роль будет играть вязкость.
Поэтому скорость течения газа будет намного меньше скорости потока, что натекает V0.
В этом случае оболочку можно считать непроницаемой и для нахождения распределения давлений
на поверхности цилиндра воспользоваться результатами, полученными в [2].
Согласно [3], скорость воздуха в горных выработках должна быть не менее 0,25 и не более 6 м/с.
Как экспериментально установлено Визельсбергом [2], в этом интервале чисел Рейнольдса
коэффициент лобового сопротивления cw остается постоянным, близким к единице. Это
обстоятельство свидетельствует, что в рассмотренном случае характер роспределения
давления на поверхности цилиндра не меняется.
Непосредственные измерения Флаксбарта [2] показали, что отношение разницы давлений на
поверхности цилиндра р и на бесконечности р0 к динамическому давлению
в интервале углов
близко к теоретическому, которое выходит в рамках теории идеальной жидкости.
Для других значений углов отмеченное отношение в широком интервале чисел
Рейнольдса оказалось негативным и почти постоянным. В частности, для Re = 1,85•105
оно близко к минус единицы.
Учитывая сказанное, зависимость давления на поверхности цилиндра от полярного угла
отсчитанного от направления вектора - v0, можно аппроксимировать следующим выражением:
(1)
Что же касается давления среды в оболочке р, будем считать его не зависимым от
Черезналичие динамического напора
оно отличается от статического давления из потока р0.
Причем его значение такое, что перепад давления
имеет разные знаки на разных участках щели. На тех участках, где
положительно, МВД поступает в камеру, а там, где
негативно, - выплывает. В целом же полное давление в
камере не меняется, потоэму значение перепада давления
проинтегрированное по
, должно обратиться в нуль. Используя это условие, нетрудно получить следующее выражение
для
(2)
Из этой формулы нужно, что при
значения перепада давлений положительно, поэтому в этом интервале углов будет
происходить заполнение камеры.
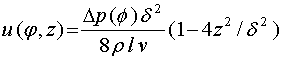
Найдем величину потока МВД, что поступает в камеру. В силу малости толщины камеры I,
в сравнении с радиусом основания цилиндра R, элемент зазору, образованный полярным
углом dц, можно считать плоским. В этом случае под действием перепада давления
скорость течения смеси в зазоре будет определяться выражением [4]
(3)
Что касается потока частиц МВД через малый элемент Rdцdz, то вон равен
получим искомое выражение:
(4)
- эффективная скорость, из которой газ поступает в камеру. Полагая в (4)
, получим: и = 0,002 ... 0,048 м/с.
Таким образом, скорость течения МВД в зазоре по крайней мере
на два порядка меньше скорости газа, что натекает v0.
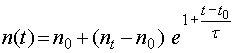
Перейдем теперь к выводу уравнения, что описывает изменение концентрации
взрывоопасного газа п в камере со временем t. Будем считать его концентрацию
окружающим среде постоянной и ровной v0. Тогда в единицу времени что убегает МВД
вносит в камеру n0Q/nc частиц метана, а выносит n0 /nc. Следовательно, общее изменение
количества из этого газа, связано с гидродинамическим движением:
(5)
Рассмотрим теперь процесс заполнения камеры, что обусловлен диффузией.
В соответствии с законом Фика [5], поток частиц метана через площадь поперечного
перереза
равен
(6)
где D — коэффициент диффузии.
Диффузия молекул внутри камеры происходит значительно быстрее, чем в области щели.
Это обстоятельство позволяет считать, что падение концентрации газа происходит в
основном по длине зазора I, поэтому заменим в (6) dn/dp на (п — n0) /l. Ошибка,
которая допускается при этомд ля камер, обычно используемых на практике
не превышает нескольких процентов.
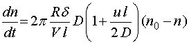
Составим обе части уравнений (5) и (6) и полученное равенство разделим на объем камеры V.
Учитывая, что d (Nv - Nn)/(Vdt) = dn/dt, получим уравнение
(7)
Полагая, что в начальный момент времени t0 концентрация взрывоопасного газа
равна nit проинтегрируем это уравнение. В результате получим
(8)
где
Т — постоянная времени заполнения камеры.
Рисунок 1- Продольное сечение реакционной камеры.
Оценим относительную роль гидродинамического и диффузионного механизмов заполнения камеры.
Параметром, что определяет взносы этих механизмов, есть величина y = Ul / 2D.
В тех случаях, когда y>>1, что доминирует будет гидродинамический механизм заполнения
камеры. Если же y <<1, то определяющую роль будет играть диффузия. И, наконец, при
y =1 взносы обоих механизмов будут равны.
Для характерных значений величин
построим зависимость
y и Т от u.
Таким образом изменение скорости воздушного потока в шахтной выработке
от 0,25 к 6 м/с приводит к изменению постоянной газообмена реакционной камеры от
Т= 0,8 с к Т = 0,4 с, что должно положительно сказаться на быстродействии аппаратуры
газового контроля.
Рисунок 2- Зависимость постоянной времени
от скорости внешней среды.
Рисунок 3- Зависимость коэффициента
от скорости внешней среды.
Рисунок 4 Зависимость концентрации метана в реакционной камере от
времени; 1 — при Т = 0,4 с. ; 2 — при Т = 0,8 с.
Перечень ссылок
- А.С. 81215(СССР) Устройство для определения содержания метана. Б.И. 1950, №6 .
- Шлихтинг Г. Теория пограничного слоя.— М.: Наука, 1974.— 711 с.
- Правила безопасности в угольных и сланцевых шахтах.— М.: Недра, 1986.—447 с.
- Ландау Л. Д., Лифшиц Е. М. Гидродинамика.— М.: Наука, 1988.— 733 с.
- Лыков Л.Д. Тепломассообмен. — М.: Энергия, 1978.— 480 с.
