МОДЕЛИРОВАНИЕ ПРОЦЕССА СЖИГАНИЯ ТВЕРДОГО 
ТОПЛИВА В КИПЯЩИМ СЛОЕ В НЕСТАЦИОНАРНЫХ УСЛОВИЯХ
Автоматизація технологічних об’єктів та процесів. Пошук молодих. Збірник наукових праць V Міжнародної науково-технічної конференції аспірантів та студентів в м. Донецьку 16-19 травня 2005р.- Донецьк– 233с.,с.29   
Гавриленко Б.В., доцент, к.т.н., Неежмаков С.В., ассистент
(Донецкий национальный технический университет, г. Донецк, Украина)
В настоящее время актуальна проблема использования низкосортного топлива. 
Одним из направлений в данной области является применение технологии 
кипящего слоя (КС), которая позволяет сжигать угли с зольностью до 70%. 
Однако,  распростанение данной технологии ограничивается повышенными 
требованиями к обслуживающему персоналу и недостатками в системе управления 
агрегатом[1].
Процесс сжигания твердого топлива в КС для обеспечения необходимой 
производительности требует постоянного поддержания и регулирования в 
заданных пределах основных параметров горения, таких, как расход топлива, 
температура и высота слоя, скорость воздушного потока через слой, разрежение в дымоходе.
Для названных функций используются регуляторы типа Р-25 или Р-29, при этом управление
 осуществляется по обособленным контурам. Наиболее существенными изменяющимися 
характеристиками топлива в процессе сжигания являются зольность (может колебаться от 20 
до 70%) и влажность, а основным параметром топки котла, реагирующим на изменение состава 
твердого топлива – температура слоя. Выход температуры за допустимые пределы приводит к
 аварийным ситуациям – погасанию или шлакованию топки.
Регулирование температуры слоя осуществляется путем изменения производительности забрасывателя. 
Управление осуществляется по ПИ-закону  с обратной связью, датчиком служит термопара, 
помещенная в слой. Опыт эксплуатации агрегата показывает, что периодически происходят 
нарушения рабочего режима работы  при исправных регуляторе, датчике и линиях связи. Для 
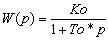
выяснения причин рассмотрим динамические характеристики слоя. Традиционно передаточная 
функция объекта управления по контуру «Температура» представляется в виде[2]:
 (1)
(1)
где Ко – коэффициент передачи объекта регулирования по контуру «Температура»; 
То – постоянная времени объекта.
Постоянная времени зависит от крупности подаваемого в слой материала [2]. 
Прошедшее через дробилку топливо имеет полифракционный состав в пределах 0...13 мм, 
а такие характеристики, как время прогрева, время выхода и горения летучих, время горения 
коксового остатка могут отличаться более чем на порядок [3]. При сушествующих средствах 
измерения невозможно осуществить оперативный контроль таких параметров, как математическое 
ожидание эквивалентного диаметра подаваемых в топку частиц. Для исследования динамических
 характеристик агрегата при переменных крупности, зольности топлива разработана компьютерная 
модель топки (рис.1).   
 
Рисунок 1 – Структура компьютерной модели сгорания топлива 
В первом блоке обеспечивается задание температуры и расхода дутьевого воздуха, 
температуры, зольности и влажности топлива, а также математическое ожидание диаметра 
подаваемых в слой частиц. Предполагается, что фракционный состав подчиняется нормальному 
закону распределения, а мат. ожидание  изменяется в пределах от 1 до 13 мм. Для всех 
данных блока 1 возможно задание закона изменения во времени. Остальные необходимые для 
расчета данные, не изменяющиеся в процессе моделирования, (например энтальпии воздуха и 
продуктов сгорания, низшая теплота сгорания и т.д.) задаются при помощи m-файла, который 
необходимо запустить перед началом моделирования. Для достоверного описания процесса 
горения частиц углерода и разогрева частиц золы выполнено разбиение модели на ряд ячеек 
(в исследуемой модели их количество выбрано равным двадцати). Каждая частица углерода при 
забросе в топку попадает в одну из ячеек (di..di+1), в зависимости от своих размеров, где 
находится до тех пор, пока в процессе выгорания не изменит свой размер и не попадет в 
следующую ячейку. Частицы золы разогреваются, не покидая пределов ячейки, при этом 
допускается, что слив золы происходит равномерно и уровень КС остается неизменным. В 
блоке 3  определяются текущее значение тепла, вносимого в слой. На рис. 2 приведена 
схема одной из ячеек (di..di+1).
Исходными данными для расчета служат количество поступившего в ячейку топлива и 
его зольность. В канале А производится моделирование сгорания части коксового остатка. 
Предполагается, что за время пребывания частиц углерода в данной ячейке  их диаметр остается 
неизменным и
 
Рисунок 2 – Ячейка топочного пространства
уменьшается скачкообразно при переходе в следующую ячейку. При определении 
текущего количества находящихся в ячейке в заданный момент времени частиц предполагается, 
что она является резервуаром, для которого входной величиной служит приток твердого материала,
 а выходной – уровень (или в нашем случае – масса) накопленного вещества. При этом 
передаточная функция накопителя примет вид:
 (2)
(2)
где  - время пребывания частицы в резервуаре.
  - время пребывания частицы в резервуаре.
В канале В описаны выход и горение летучих, в канале С – разогрев частиц углерода, 
в канале D – разогрев угольных частиц золы. Задание времени пребывания в каждом из 
состояний определяется временными задержками.
На рис. 3 приведены результаты моделирования процесса горения при переменных 
производительности забрасывателя, а также крупности и зольности поступающего в слой топлива.
 
Рисунок 3 – Результаты моделирования
Полученные результаты моделирования соответствуют результатам экспериментальных исследований [2]. 
Необходимо отметить, что изменение поступающего в слой тепла зависит не только от зольности 
топлива и производительности забрасывателя, но и от фракционного состава.
Разработанная модель позволит в дальнейшем разработать систему управления,
 учитывающую влияние фракционного состава используемого топлива на динамические 
характеристики агрегата.
Список ссылок
- Вискин Ж. В., Шелудченко В.И., Кравцов В.В. и др. Сжигание угля в кипящем слое 
и утилизация его отходов.– Д.: Типография " Новый мир", 1997.– 284 с.
-  Сжигание угля в псевдоожиженном слое/ Махорин К. Е., Хинкис П. А.
 – Киев: Наук. думка, 1989. – 204 с.
- Расчеты аппаратов кипящего слоя: Справочник/ Под ред. И.П. Мухленова, Б.С. 
Сажина, В.Ф. Фролова. – Л.: Химия, 1986. – 352 с.
