ПОВЫШЕНИЕ ЧУВСТВИТЕЛЬНОСТИ И СТАБИЛЬНОСТИ ТЕРМОКАТАЛИТИЧЕСКИХ ДАТЧИКОВ МЕТАНА ПРИ ИМПУЛЬСНОМ ПИТАНИИ


Вісті Донецького гірничого інституту: Всеукраїнський науково-технічний журнал гірничого профілю / Гол.ред. Александров С.М.- Донецьк: ДонНТУ, 2003.-86с.,26



       Исследована зависимость динамических и статических характеристик термокаталитических датчиков метана.
       Самые простые схемы стабилизации температуры чувствительных элементов (ЧЭ) датчиков метана является мостовая схема с отрицательной обратной связью по питанию, которая осуществляется с помощью усилителя постоянного тока (рис. 1). Обратная связь отрицательная, т.е. повышение температуры ЧЭ приводит к увеличению разбаланса моста и соответственно к уменьшению напряжения питания [1, 2]. Однако, вследствие температурной нестабильности входного сопротивления и напряжения смещения усилителя, датчик метана испытывает значительный температурный дрейф. Наиболее перспективными в этом направлении представляет схема стабилизации температуры ЧЭ с импульсным питанием. В этом случае на ЧЭ подаются импульсы напряжения питания, которые прекращаются при достижении заданной температуры. Частота подаваемых импульсов постоянна, а температура регулируется изменением длительности импульсов. В установившемся режиме в течение каждого периода количество тепла выделяемого на ЧЭ равно количеству тепла рассеиваемого в воздухе.
       На основании закона сохранения энергии дифференциальное уравнение теплового баланса ЧЭ имеет вид:
где С — теплоемкость ЧЭ, Дж/ град; Q — температура ЧЭ, S — площадь поверхности ЧЭ; E — теплоотдача ЧЭ; I — ток протекающий через ЧЭ, А; R1 — сопротивление ЧЭ, Ом; Q — температура окружающей среды, град.; q — количество тепла выделяемого в единицу времени на ЧЭ при окислении метана, Вт/об%; п — содержание метана у ЧЭ, Кмоль/м3.
       Сопротивление ЧЭ зависит от температуры:
где Ro — сопротивление ЧЭ при Q = 0 С ; а — температурный коэффициент сопротивления, (град)*-1.
Рис. 1. Схема стабилизации температуры ЧЭ термокаталитического датчика метана
       Подставив значение R1 в (1) получим:
       Во время импульса тока происходит выделение тепла и одновременное рассеяние его в окружающую среду. Так как за время импульса выделяемое тепло больше отдаваемого то температура и его сопротивление изменится на величину r. Уравнение (2) в этом случае примет вид:
       Решая это уравнение, получим прироста сопротивления в течение импульса:
       За время паузы tp между импульсами питания происходит только рассеяние тепла, которое описывается уравнением:
решение которого имеет вид:
       В установившемся режиме увеличение сопротивления ЧЭ за время импульса равно уменьшению за время паузы. Приравнивая уравнение (6) и (4) после преобразования получим:
       Если выразить длительность импульсов через коэффициент заполнения у и период следования импульсов T, то из формулы (7) получим:
       Из выражения (8) видно, что коэффициент заполнения равен отношению количества тепла Qp, рассеиваемого в единицу времени к количеству тепла QB, выделяемого в единицу времени при прохождении тока I.
       Изменение внешних условий в сторону увеличения или уменьшения соответственно увеличивает или уменьшает длительность импульсов и коэффициент заполнения.
       При воздействии метана на ЧЭ происходит его беспламенное сгорание и выделение дополнительного тепла, приводящее к изменению температуры ЧЭ. Это приводит к более быстрому нагреву ЧЭ до заданной температуры в течение каждого импульса питания и поэтому к сокращению его длительности пропорционально термоэффекту.
       Выходным сигналом импульсного способа питания ЧЭ термокаталитических датчиков метана будет среднее напряжение разностного импульса со сравнительным элементом:
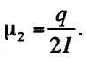
где - чувствительность термокатали- тического датчика метана.
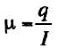
       Максимальная чувствительность мостовых схем с отрицательной обратной связью по питанию равна:

       Таким образом, термокаталитический датчик метана с импульсной стабилизацией температуры ЧЭ помимо преимуществ, определяемых стабильностью параметров стабилизации, обладает в два раза большей чувствительностью и линейной градуировочной характеристикой. Это выгодно отличает эту схему от мостовой с непрерывным питанием термокаталитического датчика метана.
Библиографический список
  1. Исследование процессов тепло- и газообмена в термокаталитическом датчике метана // Е.Н. Новиков и др. / В сб. науч. трудов. — МакНИИ, 1979. — 8 с.
  2. Методы и средства контроля рудничного газа // Щербань А.Н., Фурман Н.И. — Киев: Наукова думка, 1965.—412 с.

Новиков Е.Н.,Новикова К.Е.(ДонНТУ),2003.

В библиотеку