Автореферат Электронная библиотека Ссылки по теме Отчёт о поиске Индивидуальное задание
Повышение эксплуатационных свойств деталей технологическими методами является важнейшим резервом роста качества и конкурентной способности изделий современного производства. Основные эксплуатационные свойства деталей машин - износостойкость, прочность, герметичность в значительной мере зависят от состояния их поверхностного слоя, формируемого в процессе механической обработки. В связи с этим весьма актуальной задачей является исследование технологических возможностей методов механообработки в обеспечении эксплуатационных свойств деталей машин.
В настоящее время имеется достаточно большое количество информации по технологическому обеспечению параметров состояния поверхностного слоя деталей машин [1, 2]. Однако сведения о количественной оценке достигаемого при этом уровня эксплуатационных свойств практически отсутствуют, что затрудняет обоснованный выбор методов окончательной обработки деталей с их учетом.
Целью настоящей работы является разработка методики и обоснование выбора методов обработки с учетом износостойкости, прочности и герметичности на основании всего комплекса параметров поверхностного слоя деталей машин.
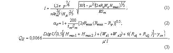
В качестве основных показателей эксплуатационных свойств - износостойкости, прочности и герметичности в настоящей работе приняты соответственно: интенсивность изнашивания I, теоретический коэффициент концентрации напряжений a, утечка QΣ , которые в зависимости от параметров поверхностного слоя могут быть представлены следующим образом [1, 2]:

где р - давление на площадке контакта; n - число циклов воздействия, которое приводит к разрушению; Е - коэффициент Пуассона и модуль упругости материала; tm - относительная опорная длина профиля на уровне средней линии; H - поверхностная микротвердость; Ra - среднее арифметическое отклонение профиля; Sm - сред-ний шаг неровностей; Wz - параметр волнистости; Hmax – максимальное макроотклонение; γ – коэффициент, принимаемый для механических методов обработки γ = 1; Rmax - максимальная высота профиля; Rр - высота сглаживания; l и D -размеры соединения; р - перепад давления; U - константа Кармана; yск- контактное сближение деталей при скольжении; Ra1, Ra2, Wz1, Wz2, Hmax1, Hmax2 – параметры шероховатости, волнистости и макроотклонения наружных и внутренних поверхностей герметичных соединений.
Расчет абсолютных значений указанных показателей на стадии изготовления деталей весьма затруднителен, так как для его выполнения наряду с известными параметрами поверхностного слоя требуются сведения об условиях эксплуатации деталей машин. В связи с этим целесообразно ввести критерии относительного изменения эксплуатационных свойств, представляющие собой отношение абсолютных значений показателей оцениваемых свойств к некоторым значениям, принятым за базу. В настоящей работе для сравнительного анализа методов лезвийной, алмазно-абразивной и отделочно-упрочняющей обработки поверхностным пластическим деформированием в качестве базы принимаются значения показателей эксплуатационных свойств и параметров поверхностного слоя, достигаемых при лезвийной обработке.
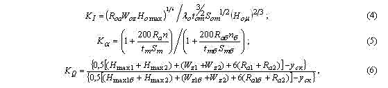
Коэффициенты относительного изменения износостойкости KI, прочности Ka и герметичности KQ при постоянных условиях работы и физико-механических свойствах материала имеют следующий вид:

где
- относительные показатели параметров поверхностного слоя, определенные в сравнении с базовыми.
Коэффициенты относительного изменения эксплуатационных свойств рассчитываются на основании сопоставления достижимых параметров поверхностного слоя сравниваемых методов обработки, достаточно широко представленных в справочно-нормативной литературе [1, 2]. В настоящей работе осуществляется анализ методов лезвийной, алмазно-абразивной и отделочно-упрочняющей обработок наружных и внутренних поверхностей вращения, показатели параметров поверхностного слоя которых представлены в табл. 1 и 2. При расчетах относительных параметров за базу для сравнения приняты параметры поверхностного слоя при точении и растачивании, причем в качестве базовых приняты средние значения из указанных в табл.1 и2 диапазонах их изменения.
Таблица 1 - Параметры поверхностного слоя при различных методах обработки наружных поверхностей вращения

Таблица 2 - Параметры поверхностного слоя при различных методах обработки внутренних поверхностей вращения

На рис. 1 представлены графики двухпараметрических зависимостей коэффициентов относительного изменения износостойкости KI и прочностиK? от основных показателей параметров шероховатости - среднего арифметического отклонения профиля Ra и среднего шага неровностей Sm при шлифовании и обкатывании.


Рис. 1. Графики двухпараметрических зависимостей коэффициентов относительного изменения износостойкости KI - а) и прочности Ka - б) от среднего арифметического отклонения профиля Ra и среднего шага неровностей Sm
Полученные результаты свидетельствуют о существенном влиянии параметров шероховатости Ra и Sm на износостойкость деталей машин. Уменьшение коэффициента относи-тельного изменения износостойкости KI с увеличением среднего шага неровностей Sm и уменьшением отклонения профиля Ra свидетельствует о снижении интенсивности изнаши-вания, то есть повышении износостойкости. При использовании шлифования в качестве окончательного метода обработки практически во всем диапазоне изменения параметров шероховатости коэффициент KI шлиф≥ 1, то есть износостойкость деталей до 1,5 раз ниже, чем при обработке их чистовым точением. Использование же отделочно-упрочняющей обработ-ки поверхностным пластическим деформированием – обкатывания позволяет повысить из-носостойкость деталей в сравнении с чистовой лезвийной обработкой в 2-5 раз.
Аналогичен характер влияния параметров шероховатости Ra и Sm на прочность деталей машин. Однако степень влияния этих параметров незначительна. При использовании шлифования в качестве окончательного метода обработки прочность деталей снижается на 2-3%. Применение обкатывания позволяет повысить прочность в сравнении с чистовой лезвийной обработкой до1,3 раз.
Графики двухпараметрической зависимости коэффициента относительного изменения герметичности KQ от шероховатости наружных Raнар и внутренних Raвн контактирующих поверхностей при различных методах обработки - шлифовании и раскатывании в сравнении с чистовым растачиванием внутренних поверхностей вращения представлены на рис. 2. Расчеты по формуле (6) были выполнены для yск = 3мкм. Графики свидетельствуют о возможности снижения утечки, то есть повышения герметичности при одних и тех же условиях эксплуатации за счет улучшения параметров состояния поверхностного слоя при выборе рациональных методов обработки.

Рис. 2 - Графики зависимости коэффициента относительного изменения герметичности KQ от шероховатости контактирующих поверхностей Raнар и Raвн
Установлено, что при алмазно-абразивной обработке контактирующих цилиндрических поверхностей - шлифовании герметичность соединения повышается в 1,2 – 1,5 раза в сравнении с лезвийной обработкой, а при использовании поверхностно-пластического деформирования – раскатывания герметичность повышается в 1,4 - 2 раза.
Таким образом, на основании разработанной методики количественно обоснована возможность существенного повышения эксплуатационных свойств деталей машин - износостойкости до 5 раз, прочности до 1,3 раз, герметичности до 2 раз за счет применения методов поверхностно-пластического деформирования.
Разработана методика количественной оценки изменения эксплуатационных свойств деталей машин в зависимости от комплекса параметров поверхностного слоя при различных методах лезвийной, алмазно-абразивной и отделочно-упрочняющей обработок. На ее основании количественно обоснован выбор методов отделочно-упрочняющей обработки поверх-ностным пластическим деформированием, обеспечивающий гарантированное повышение износостойкости, прочности и герметичности деталей машин. Разработанная методика может быть применена для любых видов механической обработки.
1. Суслов А.Г. Качество поверхностного слоя деталей машин. - М.: Машиностроение, 2000. - 320с.
2. Качество машин: Справочник. В 2 т. Т.1 / А.Г. Суслов, Э.Д. Браун, Н.А. Виткевич и др. - М.: Машиностроение, 1995.-256с.
3. Дубоделова О.C., Рудина И.А., Ивченко Т.Г. Повышение эксплуатационных свойств деталей ма-шин за счет выбора рациональных методов обработки. ИНЖЕНЕР: студенческий научно-технический журнал / Донецк: ДонНТУ, 2005, № 6. - С.135-139.
4. Голембиевская Т.М., Стуруа А.А., Ивченко Т.Г. Технологическое обеспечение герметичности соединений деталей машин // Машинознавство / Матеріали 8-ої регіональної науково-методичної конфе-ренції. - Донецьк: ДонНТУ, 2006. – С.38-41.
Автореферат Электронная библиотека Ссылки по теме Отчёт о поиске Индивидуальное задание