Автореферат Электронная библиотека Ссылки по теме Отчёт о поиске Индивидуальное задание
Повышение качества деталей машин на стадии их изготовления является весьма актуальной задачей современного машиностроения. Основные эксплуатационные свойства деталей машин – износостойкость и прочность в значительной мере зависят от со-стояния их поверхностного слоя, формируемого в процессе механической обработки.
Основные закономерности формирования параметров поверхностного слоя деталей в настоящее время достаточно хорошо изучены [1, 2]. Однако основное внимание в этих работах уделяется исследованию параметров шероховатости обработанной по-верхности, информация по оценке технологических остаточных напряжений весьма ог-раничена. Представленные в работе [3] сведения об определении остаточных напряже-ний в поверхностном слое при комбинированной обработке деталей совместным точе-нием и обкатыванием не содержат информации по их взаимосвязи с эксплуатационны-ми свойствами.
Целью настоящей работы является установление для различных методов обработки закономерностей формирования технологических остаточных напряжений и их влияния на износостойкость деталей машин.
Остаточные напряжения в поверхностном слое детали представляются как алгебраическая сумма температурных σТ и механических σМ составляющих: σО = σТ + σМ.
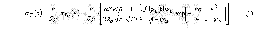
На основании анализа температурного поля в поверхностном слое заготовки, возникающего в результате взаимодействия с инструментом, с учетом распределение температур по глубине поверхностного слоя [4], установлена температурная составляющая остаточных напряжений:

где P - сила в зоне обработки; SК – площадь контакта инструмента с заготовкой; σТσ - температурные безразмерные остаточные напряжения; a - коэффициент линейного расширения материала детали; Е – модуль упругости материала; V скорость перемещения источника; b - доля теплоты, поступающая в деталь; l – размер полосового источника теплоты;
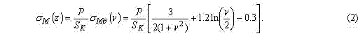
Механические остаточные напряжения определяются на основании формулы [1]:

С использованием полученных зависимостей проведены исследования безразмер-ных остаточных напряжений в поверхностном слое детали при различных видах обра-ботки – точении, шлифовании и обкатывании. Безразмерная механическая составляю-щая не зависит от вида обработки. Безразмерная температурная составляющая зависит от скорости перемещения источника и закона распределения плотности тепловых пото-ков, которые для различных видов обработки различны, что и обуславливает различие в распределении безразмерных остаточных напряжений, представленных на рис.1.

Рис.1. Распределение безразмерных остаточных напряжений (1 – механические, 2 – суммарные, 3 – температурные) по глубине поверхностного слоя при точении – а), шлифовании – б), обкатывании – в)
Расчеты выполнены для следующих скоростей перемещения тепловых источни-ков: Vточ = 3м/с, Vшл = 30м/с, Vобк = 1м/с.
Выполненные расчеты и представленные графики свидетельствуют о том, что механические остаточные напряжения являются сжимающими, а температурные – растягивающими. При различных сочетаниях уровней температурных и механических составляющих суммарные остаточные напряжения могут быть растягивающими или сжимающими.
Определяя для конкретных условий механообработки действующие силы и размеры площадок контакта, от безразмерного распределения остаточных напряжений легко перейти к их фактическому распределению. На рис. 2 представлены графики распределения остаточных напряжений по глубине поверхностного слоя при точении, шлифовании и обкатывании для следующих режимов обработки: при точении - ско-рость резания = 3м/с, подача = 0,2 мм/об, глубина резания = 1мм; сила резания = 400Н; при шлифовании - скорость резания = 30м/с, подача = 16 мм/об, глубина резания t = 0,01 мм; сила резания = 100Н; при обкатывании - скорость детали = 1м/с, сила = 500Н.

Рис.2. Распределение остаточных напряжений по глубине поверхностного слоя при точении – 1), шлифовании- 2), обкатывании 3).
Для оценки влияния технологических остаточных напряжений на износостойкость используется относительный показатель интенсивности изнашивания, устанавли-ваемый на основании известного уравнения [1] в зависимости от относительных параметров поверхностного слоя, определенных в сравнении с базовыми параметрами:

где Roa - среднее арифметическое отклонение профиля; Woz - параметр волнистости; Homax – максимальное макроотклонение; tom - относительная опорная длина профиля на уровне средней линии;Sm - средний шаг неровностей; Ho - поверхностная микротвердость - относительные показатели, определенные в сравнении с базовыми [1] (в качестве базовых приняты показатели лезвийной обработки – чистового точения). коэффициент, учитывающий остаточные поверхностные напряжения рассчитывается следующим образом [1]:

где σв- временное сопротивление разрыву; σТa- действующее напряжение; τγ - параметр фрикционной усталости; σo - технологические остаточные напряжения; σобаз - остаточные напряжения, принятые за базу (при точении принимается σобаз = 0).
Графики, представленные на рис.3, свидетельствуют о том, что существенное снижение относительного показателя интенсивности изнашивания, то есть повышение износостойкости (до 2 - 5 раз) наблюдается при использовании обкатывания в качестве окончательного метода обработки деталей и снижение износостойкости (до 1,7 раз) при использовании шлифования.

Рис.3. Графики зависимости интенсивности изнашивания от коэффициента, учитывающего остаточные напряжения
Таким образом, разработана методика определения остаточных напряжений в поверхностном слое деталей при различных методах обработки, а также методика оценки влияния остаточных напряжений на износостойкость деталей машин. Ко-личественно обоснована целесообразность использования методов поверхностно-пластического деформирования для повышения износостойкости деталей машин.
1. Суслов А.Г. Качество поверхностного слоя деталей машин. - М.: Машиностроение, 2000. - 320с
2. Безъязычный В.Ф. Назначение режимов резания по заданным параметрам качества поверхностного слоя. - Ярославль: ЯПИ, 1978. - 86с.
3. Дубоделова О.C., Ивченко Т.Г. Определение остаточных напряжений в поверхност-ном слое детали при совместной обработке точением и обкатыванием. / ИНЖЕНЕР. Донецк: ДонНТУ, 2005, № 6. - С.132-135
4. Резников А.Н. Теплофизика процессов механической обработки материалов. - М.: Машиностроение, 1981. - 279с.
Автореферат Электронная библиотека Ссылки по теме Отчёт о поиске Индивидуальное задание