Автореферат Электронная библиотека Ссылки по теме Отчёт о поиске Индивидуальное задание
Надежность функционирования технологических систем важный критерий заданный надежностью режущего инструмента. Увеличение надежности режущего инструмента - основной резерв роста эффективности современного производства. Успешное решение этой задачи требует создания сложной системы гарантии качества параметров. Рядом с разработкой новых технических требований при совершенствовании инструмента требуется развитие условий его рациональной эксплуатации.
В настоящей работе разрабатываются технические гарантии надежности режущего инструмента в различных условиях эксплуатации. Эта методика для сборных резцов и торцевые фрезы с механическим креплением твердосплавных пластин предназначенных для процесса резания.
Одна из основных задач теории надежности – исследование разрушения технических систем . Самый неблагоприятный вид разрушения - разрушение инструмента, приводящего к простоям оборудования и увеличивает изменение материала инструмента. В связи с чем актуальность задач прогноза и уменьшение вероятности разрушения инструмента в различных условиях эксплуатации более чем важна
В представленной работе техническая величина определяющая вероятность разрушения режущего инструмента в равенстве уровней его вынослисости и работоспособности при нагрузке проверяется экспериментально. Эта методика позволяет предсказывать основные параметры надежности инструмента в различных условияхработы и улучшать выбор рациональных условий работы режущего инструмента для увеличения надежности технологических систем.
Теоретические и экспериментальные исследования надежности сборного режущего инструмента с механическим креплением твердосплавных пластин получили на основании комплексного подхода к анализу стохастических законов его функционирования, оптимизации основных параметров надежности и их операционного обслуживания.
Теоретические исследования надежности режущего инструмента используются для решения следующих задач:
- создание вероятностной модели отказа режущего инструмента с учетом интенсивности и нагрузки;
- создание структурной модели надежности режущего инструмента как системы конструктивных элементов;
- создание параметрической модели надежности режущего инструмента в различных условиях эксплуатации.
Экспериментальные исследованиянадежности режущего инструмента используются для обоснования отказа видов режущего инструмента и закона распространения параметра надежности.
Исходные данные для формирования вероятностных моделей отказов устанавливаются на основании анализа случайных процессов изнашивания и разрушения лезвия режущего инструмента.
Основные допущения при разработке вероятностной модели отказов инструмента в связи с достижением предельно допустимого износа совокупность реализаций износа по задней поверхности характеризуется нормальным законом распределения в любой момент времени τi с параметрами h(τi) – средним значениями износа в момент времени τi и среднеквадратичным отклонением σh. Изменение во времени средних значений износа описывается функцией h(τ), которая с достаточной точностью в пределах зоны нормального износа может быть принята линейной c постоянной скоростью изнашивания сh: h(τ) = h + сhτ. Значение критерия затупления hкр принимается в соответствии со справочно-нормативной документацией.
В этом случае стойкость до достижения предельно допустимого износа режущего лезвия подчиняется нормальному закону распределения, вероятность безотказной работы в заданный момент времени τ может быть определена следующим образом:

где Ф(z) – нормированная функция Лапласса; параметры закона: средний период стойкости ТИ = hкр/сh и среднеквадратичное отклонение σhТ = σhh/сh.
Основные допущения при разработке вероятностных моделей отказов инструмента в связи с разрушением. Hагрузка, действующая на лезвие режущего инструмента, характеризуемая силой резания Рz (τ) и его прочность, характеризуемая предельно допустимой силой Рин, - фиксированные случайные величины с известными законами распределения в любой момент времени τi
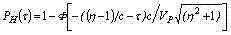
Для нормального закона распределения прочности и нагрузки с параметрами – средними значениями сил в момент времени τi Рин: и Рz (τi) и среднеквадратичным отклонением σР и линейном изменении во времени средних значений силы резания, закон распределения фактической стойкости до разрушения также нормальный. Вероятность безотказной работы в заданный момент времени τ может быть определена следующим образом:

где η = Рин/Рz - коэффициент безопасности, оценка которого возможна как на основании теоретических расчетов прочности инструмента и действующей на него нагрузки, так и на основании экспериментальных исследований; с = с2/Рz - относительный коэффициент изменения нагрузки во времени; VР = σР / Рz - коэффициент вариации прочности и нагрузки.
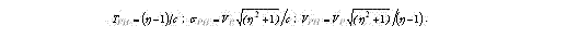
Фактический средний период стойкости до разрушения ТРН и характеристики его рассеивания - среднеквадратичное отклонение σРН и коэффициент вариации VРН равны :

Фактический средний период стойкости до разрушения взаимосвязан со стойкостью до износа следующим образом:

Для закона Вейбулла распределения прочности и нагрузки со средними значениями сил в момент времени τi Рин: и Рz (τi), с параметром формы bп, а также нелинейном изменении во времени средних значений силы резания, закон распределения фактической стойкости до разрушения представляет собой известное распределение экстремальных (наибольших) значений . В этом случае вероятность безотказной работы равна:

Параметр формы полученного распределения экстремальных значений - bэ = с3bn. Параметр масштаба, характеризующий фактический средний период стойкости до разрушения ТРВ = (η/сР)-1/С3. Фактический средний период стойкости до разрушения связан со стойкостью до износа следующим образом:

Средний период стойкости до разрушения, наблюдаемый в эксплуатации, исходя из плотности распределения fТрф(τ) фактической стойкости до разрушения ТРФ как для нормального, так и закона Вейбулла распределения прочности и нагрузки равен :

Разработанные вероятностные модели отказов позволяют на основании анализа закономерностей случайного изменения во времени параметров процесса изнашивания и разрушения лезвия инструмента создать методику расчета основных показателей надежности сборного режущего инструмента, а также установить взаимосвязь показателей надежности с условиями обработки.
В случае, когда преимущественным видом отказов режущего инструмента является достижение предельно допустимого износа, нормативный средний период стойкости ТН = ТИ определяется по известным стойкостным зависимостям, представленным в справочно-нормативной литературе. При этом рассеивание стойкости незначительно и коэффициент ее вариации VН и не превышает 0,33. При наличии отказов режущего инструмента, связанных с его разрушением, средний период стойкости Т, в сравнении с нормативным ТН , снижается, а коэффициент вариации VТ – повышается :

где qР - вероятность разрушения инструмента, qИ - вероятность изнашивания, причем (qР + qИ) = 1; a - коэффициент, учитывающий соотношение среднего периода стойкости до разрушения ТР с нормативным ТН: .

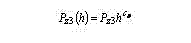
В настоящей работе в качестве основного показателя безотказности режущего инструмента наряду со средним периодом стойкости рассматривается гамма-процентный период стойкости - время резания, в течение которого инструмент не достигает отказа с заданной вероятностью γ, выраженной в процентах. Для закона Вейбулла, наиболее распространенного при анализе стойкости режущего инструмента, гамма-процентный период стойкости, или стойкость с заданной вероятностью , определяется следующим образом [3]:

На основании разработанных ранее вероятностных моделей отказов режущего инструмента установлена вероятность разрушения режущего лезвия к моменту времени τ = 1,9ТН – окончанию периода стойкости инструмента с учетом ее рассеивания при двух вариантах законов распределения прочности и нагрузки – нормальном qРН и Вейбулла qРВ:

где
- коэффициент безопасности, определяемый в зависимости от относительных показателей режимов резания, характеризующих изменение скорости резания, подачи и глубины в сравнении со значениями этих параметров, принятых за базу: vo = v/vб, so = s/sб, to = t/t; xр, yр, n – показатели, характеризующие степень влияния глубины, подачи и скорости на силу резания.
Представленные зависимости позволяют установить влияние параметров обработки на гамма-процентную стойкость инструмента с учетом вероятности его разрушения. Коэффициент, характеризующий соотношение заданной гамма-процентной стойкости режущего инструмента с нормативной, может быть рассчитан по формуле:

Представленный для γ = 70% двухпараметрический график зависимости коэффициента Кγ от относительных показателей глубины резания to и подачи so позволяет по известным режимам обработки прогнозировать гамма-процентный уровень стойкости режущего инструмента, а также устанавливать уровень режимов резания для обеспечения средней стойкости с любым заданным уровнем вероятности.
Таким образом, разработанная методика с учетом параметров случайных процессов изнашивания и разрушения лезвия режущего инструмента позволяет осуществлять прогнозирование среднего периода стойкости и его рассеивания в различных условиях эксплуатации, устанавливать характер и параметры закона распределения стойкости, а также выбирать режимы обработки, обеспечивающие требуемый уровень надежности.
Изменение во времени силы резания устанавливается с учетом износа режущего лезвия инструмента. Закономерности изменения силы резания в зависимости от износа Экспериментальная зависимость силы резания от износа по задней поверхности h - Рz1(h) получена для следующих условий : резец Т5К10, скорость резания v = 200м/мин, подача s = 0,1мм/об., глубина резания t = 4мм. Зависимость силы резания от износа может быть принята линейной Рz2(h)

где Рz2 = 1000Н, сh2 = 1100Н/мм. Более точно изменение силы резания в зависимости от износа описывается нелинейной степенной функцией Рz3(h) :

где Рz3 = 2000Н, с3 = 0,75. С учетом линейной зависимости износа от времени установлены закономерности изменения во времени силы резания:

где с2 и с3 коэффициенты, равные: с2 = сh2ch, сР = ch CВ, сh= hкр/ ТИ.
При проектировании инструмента и решении задачи выбора нового конструктивного или технологического варианта оценивается влияние свойств износостойкости и прочности на показатели надежности в заданных условиях эксплуатации. При эксплуатации инструмента и решении задачи выбора рациональных режимов обработки оценивается влияние режимов резания на показатели надежности инструмента при заданном уровне свойств инструмента.
Анализ влияния режимов обработки на показатели надежности функционирования режущего инструмента целесообразно вести с использованием относительных показателей, характеризующих изменение скорости резания v, подачи s и глубины резания t в сравнении с нормативными значениями этих режимов, принятых за базу: vo = v/vб, so = s/sб, to = t/tб.
На рис. 3 представлены графики вероятности безотказной работы Р(τ) и плотности распределения вероятности f(τ) для сборных резцов с механическим креплением многогранных неперетачиваемых пластин. Экспериментальные исследования выполнены для следующих условий:
обрабатываемый материал – сталь 45, инструментальный материал – Т5К10, глубина резания t= 6мм, скорость резания v = 114м/мин, подача s = 0,47мм/об. Соответствующие этим режимам нормативная стойкость инструмента ТИ = 30 мин, коэффициент ее вариации. Коэффициенты вариации VИ = 0,3; VР = 0,3. Коэффициент безопасности ηб = 3. Скорость изменения нагрузки с = 1,1 hкр/ ТИ.
Экспериментальные показатели РЭ(τ), fЭ(τ) достаточно хорошо совпадают с теоретическими РТ(τ), fТ(τ), рассчитанными на основании нормативных показателей РН(τ), fН(τ) с учетом разрушения. Здесь же представлены показатели для режимов резания, отличающихся от нормативных: Р1(τ), f1(τ) - на 10% ниже нормативных; Р2(τ), f2(τ) - на 10% выше нормативных.

Рисунок 3: график вероятности безотказной работы Р(τ) и плотности распределения вероятности f(τ) для сборных резцов с механическим креплением многогранных неперетачиваемых пластин.
Разработанная стохастическая модель режущего инструмента,которая устанавливает взаимоотношение основных параметров надежности с параметрами инструмента и условиями его работы. Поэтому на основании теоретических и экспериментальных исследований надежности рекомендации базируются на выборе условий работы режущего инструмента, для гарантии уровня его надежности. Определяя для предоставленных условий производства, оптимальный уровень параметров надежности возможно достичь наивысшей эффективности использования режущего инструмента
Автореферат Электронная библиотека Ссылки по теме Отчёт о поиске Индивидуальное задание