Главная страница   Магистерская диссертация   Результаты поиска в Internet   Перечень ссылок   Библиотека

УДК 621.313.322

УПРОЩЕННАЯ МОДЕЛЬ СИНХРОННОЙ МАШИНЫ ДЛЯ РАСЧЕТА ТРЕХФАЗНЫХ КОРОТКИХ ЗАМЫКАНИЙ С УЧЕТОМ МНОГОКОНТУРНОСТИ И НЕСИММЕТРИИ РОТОРА

Ларин А.М., Ларина И.И., Гедиди Фаузи

Донецкий государственный технический университет

E-mail:r504a@fkita.dn.ua

The comparatively simple and visual method is given which allows to consider the electromagnetic transient process of shorting the synchronous machines taking into account two or more damper windings. The method is based on the association between the transients and frequency response characteristics. Mathematical correlations are given which implement the graphical method of representation the total currents and it's stator's components with the aid of the given frequency response characteristics.

Синхронная машина (СМ) является сложной совокупностью трехмерных электрических и магнитных полей в среде, содержащей переплетенные участки с различными магнитными и диэлектрическими постоянными. Явление вытеснения тока, сложное распределение магнитных полей в отдельных элементах затрудняет строгое математическое описание переходных процессов в СМ.

На практике пользуются упрощенной картиной магнитных и электрических полей. К неточностям и ошибкам в широко распространенном представлении переходных процессов в СМ (в том числе и при моделировании по дифференциальным уравнениям Парка-Горева) [1] относится неучет влияния параметров по поперечной оси ротора на периодическую составляющую тока статора при коротком замыкании (КЗ) из режима холостого хода; неучет зависимости постоянной времени затухания апериодической составляющей тока статора от величины скольжения в момент включения СМ в сеть и др.

В этой связи задача углубленного и вместе с тем наглядного рассмотрения переходных процессов без использования громоздких выражений и дифференциальных уравнений является актуальной.

В [2] предложен метод расчета по частотным характеристикам проводимостей СМ и переходных процессов при внезапных КЗ на ее выводах или включении невозбужденной синхронно вращающейся машины в сеть. При этом разработан графо-аналитический способ расчета токов статора и электромагнитного момента. Вопросы определения тока в обмотке возбуждения (ОВ) при таком подходе не рассматривались.

Предлагаемый в настоящей работе способ исследования переходных процессов при КЗ в СМ является развитием метода, предложенного в [2], в направлении его дополнения с целью определения токов в ОВ и разработки алгоритма, реализующего графический подход к определению параметров динамического режима СМ.

Алгоритм расчета токов в обмотках статора основан на непосредственном определении изображающего вектора тока и последующим получением фазных токов.

Известными являются: частотные характеристики и , начальный угол между поперечной осью ротора и вектором напряжения сети, угол между вектором напряжения и осью фазы А обмотки статора, сопротивление обмотки статора постоянному току .

Расчет ведется для отдельных составляющих изображающего вектора тока статора в такой последовательности:

Определяется установившееся значение тока с учетом различия параметров по осям d и q ротора

, (1)

где

, ;

, .

Определяется апериодическая составляющая и периодический ток частоты близкой к двойной

, (2)

где

, .

Собственная частота вращения апериодического тока и постоянная времени его затухания определяются по значению среднего комплекса проводимости для скольжения .

. (3)

. (4)

Начальное значение переходного периодического тока синхронной частоты рассчитывается из условия

.

В общем случае начальное значение вектора тока не совпадает с продольной осью ротора (даже при КЗ из режима холостого хода), что соответствует возникновению апериодических токов в контурах ротора по обеим осям его магнитной симметрии. Следовательно, закон изменения периодического затухающего тока во времени будет таким

, (5)

где - начальные значения и постоянные времени экспоненциальных составляющих, аппроксимирующих огибающие периодических токов по продольной и поперечной осям соответственно; N - количество контуров на роторе по продольной оси; M - количество контуров на роторе по поперечной оси.

Значения параметров указанных периодических составляющих тока в условиях дискретного задания частотных характеристик целесообразно рассчитывать с использованием эквивалентных схем замещения. Параллельные цепочки таких схем не замещают реальные обмотки на роторе, а только характеризуют их эквивалентное влияние. Синтез таких схем замещения может быть выполнен по методике [3] при принятии условия, что .

При совпадении вектора тока с продольной или поперечной осью ротора его затухание будет определяться только параметрами соответствующей схемы замещения:

,

. (6)

В общем случае начальные значения продольных и поперечных составляющих тока должны пересчитываться пропорционально проекциям полного вектора указанного тока на продольную и поперечную оси ротора.

,

, (8)

где - аргумент вектора тока (угол между вектором тока и осью действительных чисел комплексной плоскости.

,

. (9)

Полный вектор изображающего тока статора представляет собой векторную сумму отдельных составляющих:

, (10)

где U - напряжение на выводах статора в момент КЗ или напряжение сети в опыте включения невозбужденного синхронно вращающегося генератора в сеть.

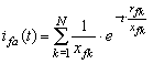
Мгновенные значения фазных токов определяются как проекции изображающего вектора на неподвижные оси времени соответствующих фаз:

,

,

, (11)

где - аргумент полного изображающего вектора тока статора, зависящий от времени.

При расчете переходного процесса при включении невозбужденной машины, вращающейся со скольжением s=0, в сеть знаки токов в (11) должны быть изменены на противоположные.

Определение апериодического тока в обмотке возбуждения целесообразно производить по такой же методике, что и расчет токов в обмотках статора. Необходимо иметь для этого частотную характеристику для операторного коэффициента распределения тока статора в ветви обмотки возбуждения . Тогда частотная характеристика тока в обмотке возбуждения будет определяться в соответствии с выражением

. (12)

Характеристика может быть получена непосредственными измерениями при питании обмотки возбуждения токами разной частоты, а также по данным опытов затухания постоянного тока в обмотке статора неподвижной СМ, ударного возбуждения или гашения электромагнитного поля при короткозамкнутом статоре синхронно вращающейся СМ, внезапного трехфазного КЗ. В каждом из перечисленных опытов необходимо регистрировать токи в обмотках статора и ОВ. После перехода в частотную область получим

. (13)

Переход в (12) из частотной области во временную при дискретно заданных частотных характеристиках удобно осуществить также как и для обмотки статора путем предварительного синтеза по частотной характеристики эквивалентной схемы замещения. В случае наличия на роторе успокоительных контуров некоторые параметры полученной схемы замещения могут иметь отрицательные значения, что физически означает наличие в апериодическом токе ОВ отрицательных составляющих.

Изменение апериодического тока ОВ во времени будет подчинено следующему закону

, (14)

где - индуктивное и активное сопротивление k -го контура синтезированной схемы замещения; N - количество контуров.

Следует отметить, что теоретически количество контуров в схемах замещения, соответствующих частотным характеристикам и должно быть равным. При этом их соответствующие постоянные времени также будут одинаковыми. Поэтому в опытах определения по переходным функциям токов в обмотках статора и ротора аппроксимацию их необходимо производить одинаковым числом экспоненциальных составляющих, имеющих одинаковые постоянные времени.

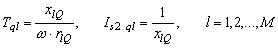
Начальное значение периодической составляющей тока в ОВ определяется из условия

.

Поскольку причиной возникновения периодического тока в ОВ является апериодический ток статора, то закон его изменения будет таким:

.

Для полного тока в цепи обмотки возбуждения имеем:

,

где - значение установившегося тока возбуждения в исходном, предшествующем короткому замыканию, режиме.

Эффективность предложенной методики оценивалась на примере расчета токов при трехфазном КЗ на выводах модельного синхронного генератора (СГ) МТ-30. Указанный СГ обладает существенно различными динамическими свойствами по осям магнитной симметрии ротора, и имеет следующие параметры: .

Частотные характеристики определялись по данным опытов затухания постоянного тока в обмотках статора неподвижного генератора и не учитывают влияние активного сопротивления обмотки статора. Характеристика рассчитывалась по данным опыта трехфазного КЗ.

Исходное напряжение на выводах генератора в опыте КЗ составило 0, 091 номинального, что исключило влияние насыщения, которое в расчете не учитывалось.

Сопоставление результатов расчета по полученным в работе соотношениям с экспериментальными данными указывает на удовлетворительное совпадение значений токов и качества переходного процесса. Отличие мгновенных величин в области амплитудных значений токов в каждой из фаз не превышает 5%. Значение постоянной времени изменения апериодического тока (0,0645с), рассчитанное по (4), практически совпало с ее значением, полученным по результатам опыта (0,0638с).

Таким образом, предложен сравнительно простой и наглядный способ, позволяющий с погрешностью, не превышающей 10%, рассчитывать токи в обмотках статора и ротора при трехфазных коротких замыканиях в синхронных машинах с учетом многих контуров на роторе и его несимметрии. Получены математические соотношения, реализующие графический способ представления полных токов и их отдельных составляющих в обмотках статора и ротора с помощью частотных характеристик.

ЛИТЕРАТУРА

1. Важнов А.И. Переходные процессы в машинах переменного тока. - Л.: Энергия, 1980.-256 с.

2 Казовский Е.Я. Переходные процессы в электрических машинах переменного тока. - М.: Изд-во АН СССР, 1962.-624 с.

3. Рогозин Г.Г., Ларин А.М. Расчет параметров эквивалентных роторных контуров синхронных машин по их экспериментальным частотным характеристикам. - Электричество, 1974, № 6. С.10-13.